【数字信号调制】基于matlab GUI FSK调制+解调【含Matlab源码 645期】
一、获取代码方式
获取代码方式1:
完整代码已上传我的资源: 【数字信号调制】基于matlab GUI FSK调制+解调【含Matlab源码 645期】
获取代码方式2:
通过订阅紫极神光博客付费专栏,凭支付凭证,私信博主,可获得此代码。
备注:订阅紫极神光博客付费专栏,可免费获得1份代码(有效期为订阅日起,三天内有效);
二、FSK简介
1 FSK时域信号
数字频率调制(FM)是利用载波的频率传输信息的一种调制方式,其中最简单的是二进制频移键控(2FSK)。FM分为非连续相位FSK和连续相位FSK(CPFSK),两者的区别在于码元转换时刻的载波相位是否连续。
2FSK信号波形如下图所示,信号可以看成是频载为f1和f2的两个振幅键控信号的合成,2FSK信号可表示为:

式中,

式中,A是载波振幅,Tb为数字码元周期,{bn}为所传送的数字序列。

相位连续的FSK信号在码元转换时刻的相位是连续的,波形如下图所示。

此时调频信号可以表示为:

式中,fc是未调载波的频率,\delta fd是频偏因子。当m(t)为归一化基带信号时,\delta fd为峰值频偏,令

式中,h为调制指数或频移指数。
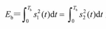
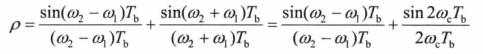
2 相关系数与频谱特性
设FSK信号在一个码元期间内的波形为:

这两个信号波形的相关系数定义为:

式中,

则带入上式有:

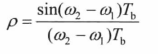
通常

则相关系数简化为:

其波形变化图如下所示:

从图中可以看出,两个信号的相关系数在k*pi的时候为零,也就是说它们具有正交特性。
CPFSK信号的功率谱形状直接由调制指数h确定。当h=0.5时,功率谱曲线为单峰;当h=0.715时,功率谱曲线呈现双峰;当h=1时,功率谱曲线的双峰变成了两条线状谱,且每条线状谱所占的功率都是信号功率的1/4,与离散相位2FSK信号的功率谱曲线相同;当h>1时,双峰的距离逐渐增加。
3 非相干解调
3.1相乘微分型AFC环解调法
AFC环是一个负反馈系统,从电路结构上看,AFC环主要由三种结构形式,比较广泛的是相乘微分型AFC环路。其架构如下图所示:

如果接收信号与本振信号存在频差,则在一定时间间隔内必然存在相差,将鉴相器输出的相位误差信号微分后,得到反映频差的误差信号,此信号经环路滤波器平滑处理后,控制VCO/NCO的振荡频率向输入信号频率靠近,最终使得频差近似为零。
设输入信号

VCO输入信号

则

显然有

当输入信号为单载波信号时,

故有

上式反映了输入信号和VCO输出信号的频差。对于FSK信号来讲,上式即为调制信号,对其进行滤波判决,即可完成FSK信号的解调。
3.2 包络检波解调法
2FSK信号的包络检波法解调方框图如下,可以视为由两路2ASK解调电路组成。这里的两个带通滤波器起分路作用,用以分开两路2ASK信号。上支路对应

下支路对应

经包络检测后分别取出他们的包络m1(t)和m2(t)。将两路滤波后的包络信号相减,在经过抽样判决,当判决值大于等于0时,判决为1,否则判决为0;

4 相干解调原理
4.1最佳FSK相干解调器
最佳解调器结构如下图所示,在接收端产生一直信号s1(t)和s2(t)的波形,分别将其与输入波形y(t)在相乘器中相乘,再进行积分。在t=Tb时刻,将两积分器的结果取样,并在比较器中比较判决。因为解调器是对接收码元逐个进行处理的,故在每个码元的终止时刻,在取样之后要将积分器清零,以便接着处理下一个码元。

相干载波s1(t)和s2(t)通常需要采用载波锁相环路提取,位同步信号则需要专门的位同步锁相环路提取。
4.2 易于实现的FSK相干解调器
4.1中的结构难以实现,通常采用下图结构实现:

FSK相干解调与ASK相干解调相似,FSK只是在用带通滤波器将信号分成上下两路后,在判决输出前增加一个减法器即可。
三、部分源代码
function varargout = GUI_2FSK(varargin)
% GUI_2FSK MATLAB code for GUI_2FSK.fig
% GUI_2FSK, by itself, creates a new GUI_2FSK or raises the existing
% singleton*.
%
% H = GUI_2FSK returns the handle to a new GUI_2FSK or the handle to
% the existing singleton*.
%
% GUI_2FSK('CALLBACK',hObject,eventData,handles,...) calls the local
% function named CALLBACK in GUI_2FSK.M with the given input arguments.
%
% GUI_2FSK('Property','Value',...) creates a new GUI_2FSK or raises the
% existing singleton*. Starting from the left, property value pairs are
% applied to the GUI before GUI_2FSK_OpeningFcn gets called. An
% unrecognized property name or invalid value makes property application
% stop. All inputs are passed to GUI_2FSK_OpeningFcn via varargin.
%
% *See GUI Options on GUIDE's Tools menu. Choose "GUI allows only one
% instance to run (singleton)".
%
% See also: GUIDE, GUIDATA, GUIHANDLES
% Edit the above text to modify the response to help GUI_2FSK
% Last Modified by GUIDE v2.5 30-Nov-2018 14:09:53
% Begin initialization code - DO NOT EDIT
gui_Singleton = 1;
gui_State = struct('gui_Name', mfilename, ...
'gui_Singleton', gui_Singleton, ...
'gui_OpeningFcn', @GUI_2FSK_OpeningFcn, ...
'gui_OutputFcn', @GUI_2FSK_OutputFcn, ...
'gui_LayoutFcn', [] , ...
'gui_Callback', []);
if nargin && ischar(varargin{1})
gui_State.gui_Callback = str2func(varargin{1});
end
if nargout
[varargout{1:nargout}] = gui_mainfcn(gui_State, varargin{:});
else
gui_mainfcn(gui_State, varargin{:});
end
% End initialization code - DO NOT EDIT
% --- Executes just before GUI_2FSK is made visible.
function GUI_2FSK_OpeningFcn(hObject, eventdata, handles, varargin)
% This function has no output args, see OutputFcn.
% hObject handle to figure
% eventdata reserved - to be defined in a future version of MATLAB
% handles structure with handles and user data (see GUIDATA)
% varargin command line arguments to GUI_2FSK (see VARARGIN)
% Choose default command line output for GUI_2FSK
handles.output = hObject;
i=20; %二级制基带数据个数
fc=1000; %抽样频率
j=i*fc;
s=round(rand(1,i)); %产生二级制基带数
t=linspace(0,i,j);
f1=10; %载波1频率
f2=30; %载波2频率
%%%%%%%%%%%%%%%%%%%%%%%%%%%%%%%%%产生基带信号
s1=t;
for n=1:i
if s(n)<1;
for m=j/i*(n-1)+1:j/i*n
s1(m)=0;
end
else
for m=j/i*(n-1)+1:j/i*n
s1(m)=1;
end
end
end
s2=t;
%%%%%%%%%%%%%%%%%%%%%%%%%%%%%%%%基带信号求反
for n=1:j;
if s1(n)>=1;
s2(n)=0;
else
s2(n)=1;
end
end;
%figure(1);subplot(411);plot(t,s1);title('基带信号');axis([0,i,-1,2]);
%subplot(412);plot(t,s2);title('基带信号求反');axis([0,i,-1,2]);
F1=cos(2*pi*f1*t); %载波信号1
F2=cos(2*pi*f2*t); %载波信号2
%subplot(413);plot(t,F1);title('载波信号1');
Fsk=s1.*F1+s2.*F2; %2Fsk调制
%figure(2);subplot(311);plot(t,Fsk);title('2FSK调制信号')
SNR_dB=15; %定义信噪比
SNR=10^(SNR_dB/10); %定义线性信噪比
Ps=1; %发射功率
Pn=Ps/SNR; %噪声方差
F3=cos(2*pi*f1*t+pi/4);
F4=cos(2*pi*f2*t+pi/4);
Fsk1=s1.*F3+s2.*F4;
t1=length(t);
z=sqrt(Pn/2)*randn(1,t1);
h=1; %AWGN信道下,信道增益h=1
Fskh=Fsk1*h+z; %通过AWGN信道后产生pi/4的相移
%subplot(312);plot(t,z); %噪声波形 title('噪声波形')
%subplot(313);plot(t,Fskh);title('通过信道加噪声后的接受信号'); axis([0,i,-1,1]);
b1=fir1(101,[10/500 15/500]); %设置带通滤波器参数
b2=fir1(101,[30/500 40/500]);
Fskh1=filter(b1,1,Fskh); %经过带通滤波器后的信号
Fskh2=filter(b2,1,Fskh);
%figure(3);subplot(211);plot(t,Fskh1);title('经过带通滤波器b1后的波形');axis([0,i,-1,1]);
%subplot(212);plot(t,Fskh2);title('经过带通滤波器b2后的波形');
FskH1=Fskh1.*Fskh1;
FskH2=Fskh2.*Fskh2; %经过相乘器
%figure(4);subplot(211);plot(t,FskH1);title('经过相乘器后Fskh1的波形')
%subplot(212);plot(t,FskH2);title('经过相乘器后Fskh2的波形')
bn=fir1(101,[2/500 10/500]); %设置低通滤波器参数
st1=filter(bn,1,FskH1); %经过低通滤波器
st2=filter(bn,1,FskH2);
%figure(5) ;subplot(211);plot(t,st1);title('经过低通滤波器bn后的波形')
%subplot(212);plot(t,st2);title('经过低通滤波器bn后的波形')
%判决
st1_sum=zeros(1,i);
st2_sum=zeros(1,i);
for p=1:i %抽样判决,在每一个基带代码带宽内按抽样频率抽样并相加比较
for j=1000*(p-1)+1:1000*p
st1_sum(p)=st1_sum(p)+st1(j);
st2_sum(p)=st2_sum(p)+st2(j);
end
if(st1_sum(p)>=st2_sum(p))
s_est(p)=1;
else s_est(p)=0;
end
end
s3=t; %解调后的基带信号
for n=1:i
if s_est(n)<1;
for m=j/i*(n-1)+1:j/i*n
s3(m)=0;
end
else
for m=j/i*(n-1)+1:j/i*n
s3(m)=1;
end
end
end
%figure(6);subplot(211);plot(t,st);title('经过抽样判决器后的波形')
%subplot(212);plot(t,Fskh);title('原始的波形');axis([0,i,-1,1]);
%%%%%%%%%%%%%%%%%实际误码率曲线和理论误码率对比
PBSUM=0;
for n=1:10 %信噪比循环
for m=1:1000 %蒙特卡洛循环
SNR=n;
Ps=100; %发射功率
Pn=Ps/SNR;
z=sqrt(Pn/2)*randn(1,t1); %噪声方差
h=1;
Fskh=Fsk1*h+z; %通过AWGN信道后产生pi/4的相移
b1=fir1(101,[10/500 15/500]);
b2=fir1(101,[30/500 40/500]); %设置带通参数
Fskh1=filter(b1,1,Fskh);
Fskh2=filter(b2,1,Fskh); %经过带通滤波器后的信号
FskH1=Fskh1.*Fskh1;
FskH2=Fskh2.*Fskh2; %经过相乘器
- 1
- 2
- 3
- 4
- 5
- 6
- 7
- 8
- 9
- 10
- 11
- 12
- 13
- 14
- 15
- 16
- 17
- 18
- 19
- 20
- 21
- 22
- 23
- 24
- 25
- 26
- 27
- 28
- 29
- 30
- 31
- 32
- 33
- 34
- 35
- 36
- 37
- 38
- 39
- 40
- 41
- 42
- 43
- 44
- 45
- 46
- 47
- 48
- 49
- 50
- 51
- 52
- 53
- 54
- 55
- 56
- 57
- 58
- 59
- 60
- 61
- 62
- 63
- 64
- 65
- 66
- 67
- 68
- 69
- 70
- 71
- 72
- 73
- 74
- 75
- 76
- 77
- 78
- 79
- 80
- 81
- 82
- 83
- 84
- 85
- 86
- 87
- 88
- 89
- 90
- 91
- 92
- 93
- 94
- 95
- 96
- 97
- 98
- 99
- 100
- 101
- 102
- 103
- 104
- 105
- 106
- 107
- 108
- 109
- 110
- 111
- 112
- 113
- 114
- 115
- 116
- 117
- 118
- 119
- 120
- 121
- 122
- 123
- 124
- 125
- 126
- 127
- 128
- 129
- 130
- 131
- 132
- 133
- 134
- 135
- 136
- 137
- 138
- 139
- 140
- 141
- 142
- 143
- 144
- 145
- 146
- 147
- 148
- 149
- 150
- 151
- 152
- 153
- 154
- 155
- 156
- 157
- 158
- 159
- 160
- 161
- 162
- 163
- 164
- 165
- 166
- 167
- 168
- 169
- 170
- 171
- 172
- 173
- 174
- 175
- 176
- 177
- 178
- 179
- 180
- 181
- 182
- 183
- 184
- 185
- 186
- 187
- 188
- 189
- 190
- 191
- 192
- 193
- 194
- 195
- 196
- 197
- 198
- 199
- 200
- 201
四、运行结果







五、matlab版本及参考文献
1 matlab版本
2014a
2 参考文献
[1] 沈再阳.精通MATLAB信号处理[M].清华大学出版社,2015.
[2]高宝建,彭进业,王琳,潘建寿.信号与系统——使用MATLAB分析与实现[M].清华大学出版社,2020.
[3]王文光,魏少明,任欣.信号处理与系统分析的MATLAB实现[M].电子工业出版社,2018.
文章来源: qq912100926.blog.csdn.net,作者:海神之光,版权归原作者所有,如需转载,请联系作者。
原文链接:qq912100926.blog.csdn.net/article/details/115292847
- 点赞
- 收藏
- 关注作者
评论(0)