【图像跟踪】基于matlab GUI均值漂移图像跟踪【含Matlab源码 743期】
一、均值漂移简介
1.均值漂移的基本概念:沿着密度上升方向寻找聚簇点
(1)设想在一个有N个样本点的特征空间;
(2)初始确定一个中心点center,计算在设置的半径为D的圆形空间内所有的点(xi)与中心点center的向量;
(3)计算整个圆形空间内所有向量的平均值,得到一个偏移均值;
(4)将中心点center移动到偏移均值位置;
(5)重复移动,直到满足一定条件结束;

2 均值漂移运算:
2.1 Mean shift的基础公式:
偏移均值

Sh:以x为中心点,半径为h的高维球区域; k:包含在Sh范围内点的个数; xi:包含在Sh范围内的点
中心更新
将中心点移动到偏移均值位置

Mt为t状态下求得的偏移均值; xt为t状态下的中心
2.2 引入核函数的偏移均值:
核函数
核函数只是用来计算映射到高维空间之后的内积的一种简便方法,目的为让低维的不可分数据变成高维可分。利用核函数,可以忽略映射关系,直接在低维空间中完成计算。
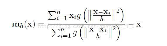
引入核函数的偏移均值
在均值漂移中引入核函数的概念,能够使计算中距离中心的点具有更大的权值,反映距离越短,权值越大的特性。改进的偏移均值:

其中,x为中心点;xi为带宽范围内的点;n为带宽范围内的点的数量;g(x)为对核函数的导数求负
3 均值漂移的应用:
聚类(K均值聚类)
图像分割(将图像映射到特征空间,对采样点进行均值漂移聚类)
对象轮廓检验(光线传播算法)
目标跟踪(求解最优化Bhattacharya系数函数)
4 均值漂移运算步骤:
4.1 在未被分类的数据点中随机选择一个点作为中心点;
4.2 找出离中心点距离在带宽之内的所有点,记做集合M,认为这些点属于簇c。
4.3 计算从中心点开始到集合M中每个元素的向量,将这些向量相加,得到偏移向量。
4.4 中心点沿着shift的方向移动,移动距离是偏移向量的模。
4.5 重复步骤2、3、4,直到偏移向量的大小满足设定的阈值要求,记住此时的中心点。
4.6 重复1、2、3、4、5直到所有的点都被归类。
4.7 分类:根据每个类,对每个点的访问频率,取访问频率最大的那个类,作为当前点集的所属类。
二、源代码
function varargout = GUI(varargin)
gui_Singleton = 1;
gui_State = struct('gui_Name', mfilename, ...
'gui_Singleton', gui_Singleton, ...
'gui_OpeningFcn', @GUI_OpeningFcn, ...
'gui_OutputFcn', @GUI_OutputFcn, ...
'gui_LayoutFcn', [] , ...
'gui_Callback', []);
if nargin && ischar(varargin{1})
gui_State.gui_Callback = str2func(varargin{1});
end
if nargout
[varargout{1:nargout}] = gui_mainfcn(gui_State, varargin{:});
else
gui_mainfcn(gui_State, varargin{:});
end
function GUI_OpeningFcn(hObject, eventdata, handles, varargin)
handles.output = hObject;
handles.FileName = 0;
colour = get(handles.Video_Panel,'BackgroundColor');
img = imread('Files\Play_up.bmp');
handles.icon_play_up = Set_Button_Bckgrnd(img,colour);
set(handles.Play,'CData',handles.icon_play_up);
img = imread('Files\Play_down.bmp');
handles.icon_play_down = Set_Button_Bckgrnd(img,colour);
set(handles.Speed,'Value',10);
in = imread('Files\Mark_in.bmp');
out = imread('Files\Mark_out.bmp');
in = Set_Button_Bckgrnd(in,colour);
out = Set_Button_Bckgrnd(out,colour);
set(handles.Mark_in,'CData',in);
set(handles.Mark_out,'CData',out);
icon = imread('Files\Crop.bmp');
icon = Set_Button_Bckgrnd(icon,colour);
set(handles.Crop,'CData',icon);
icon = imread('Files\Select_Target.bmp');
icon = Set_Button_Bckgrnd(icon,colour);
set(handles.Select_Target,'CData',icon);
set(handles.Gaussian,'Value',1);
handles.Kernel_type = 'Gaussian';
handles.radius = str2double(get(...
handles.Radius_edit,'String'))/100;
% Set Default Iteration limiters
handles.f_thresh = str2double(get(...
handles.F_thresh_edit,'String'));
handles.max_iter = str2double(get(...
handles.Max_iter_edit,'String'));
% Update handles structure
guidata(hObject, handles);
%Display Default Images
axes(handles.Target)
img = imread('Files\Target_Default.png');
imshow(img);
axes(handles.Video)
img = imread('Files\Video_Default.png');
imshow(img);
%% Button Background Colour Function
function icon = Set_Button_Bckgrnd(icon,colour)
for i=1:size(icon,1)
for j=1:size(icon,2)
if mean(icon(i,j,:))>= 196
icon(i,j,:) = icon(i,j,:)-uint8(round(...
255*(ones(1,1,3)-permute(colour,[1 3 2]))));
end
end
end
%% Outputs from this function are returned to the command line.
function varargout = GUI_OutputFcn(hObject, eventdata, handles)
% varargout cell array for returning output args (see VARARGOUT);
% hObject handle to figure
% eventdata reserved - to be defined in a future version of MATLAB
% handles structure with handles and user data (see GUIDATA)
% Get default command line output from handles structure
varargout{1} = handles.output;
%% Objects Creation Functions
% Executes during object creation,
%after setting all properties.
function Video_CreateFcn(hObject, eventdata, handles)
function Vid_Path_CreateFcn(hObject, eventdata, handles)
if ispc && isequal(get(hObject,'BackgroundColor'),...
get(0,'defaultUicontrolBackgroundColor'))
set(hObject,'BackgroundColor','white');
end
function Slider_CreateFcn(hObject, eventdata, handles)
if isequal(get(hObject,'BackgroundColor'), get(0,'defaultUicontrolBackgroundColor'))
set(hObject,'BackgroundColor',[.9 .9 .9]);
end
function Slider_edit_CreateFcn(hObject, eventdata, handles)
if ispc && isequal(get(hObject,'BackgroundColor'), get(0,'defaultUicontrolBackgroundColor'))
set(hObject,'BackgroundColor','white');
end
function Speed_CreateFcn(hObject, eventdata, handles)
if isequal(get(hObject,'BackgroundColor'), get(0,'defaultUicontrolBackgroundColor'))
set(hObject,'BackgroundColor',[.9 .9 .9]);
end
function Mark_in_edit_CreateFcn(hObject, eventdata, handles)
if ispc && isequal(get(hObject,'BackgroundColor'), get(0,'defaultUicontrolBackgroundColor'))
set(hObject,'BackgroundColor','white');
end
function Mark_out_edit_CreateFcn(hObject, eventdata, handles)
if ispc && isequal(get(hObject,'BackgroundColor'), get(0,'defaultUicontrolBackgroundColor'))
set(hObject,'BackgroundColor','white');
end
function Select_Target_CreateFcn(hObject, eventdata, handles)
function Target_CreateFcn(hObject, eventdata, handles)
function Radius_edit_CreateFcn(hObject, eventdata, handles)
if ispc && isequal(get(hObject,'BackgroundColor'), get(0,'defaultUicontrolBackgroundColor'))
set(hObject,'BackgroundColor','white');
end
function F_thresh_edit_CreateFcn(hObject, eventdata, handles)
if ispc && isequal(get(hObject,'BackgroundColor'), get(0,'defaultUicontrolBackgroundColor'))
set(hObject,'BackgroundColor','white');
end
function Max_iter_edit_CreateFcn(hObject, eventdata, handles)
if ispc && isequal(get(hObject,'BackgroundColor'), get(0,'defaultUicontrolBackgroundColor'))
set(hObject,'BackgroundColor','white');
end
function Similarity_Plot_CreateFcn(hObject, eventdata, handles)
%% Close Button Callback
function Close_Callback(hObject, eventdata, handles)
% setappdata(handles.MeanShift,'mydata',matrices);
display 'GUI closed. Thanks for using it. :)'
close(handles.MeanShift);
%% Video Input Callbacks
function Browse_Callback(hObject, eventdata, handles)
[FileName,PathName] = uigetfile({'*.avi','(*.avi) AVI video file'},...
'Select input AVI video...');
if FileName~=0
set(handles.Vid_Path,'String',strcat(PathName,FileName));
Vid_Path_Callback(handles.Vid_Path,[], handles);
end
function Vid_Path_Callback(hObject, eventdata, handles)
Path = get(hObject,'String');
if exist(Path,'file')==2
L = length(Path);
if L>3
extension = Path(L-3:L);
if strcmpi(extension,'.avi')==1
set(hObject,'String',...
'Importing video, be patient...',...
'ForegroundColor','red',...
'FontWeight','bold');
drawnow;
[handles.lngth,handles.height,handles.width,...
handles.Movie]=Import_mov(Path);
set(hObject,'String',Path,...
'ForegroundColor','black',...
'FontWeight','normal');
for i=L:-1:1
if strcmp(Path(i),'\')==1
break;
end
end
handles.FileName = Path(L-i:L-3);
Video_Init(hObject,handles);
end
end
end
%% Video Initialization
function Video_Init(hObject,handles)
handles.indx_start_frame = 1;
handles.indx_end_frame = handles.lngth;
guidata(hObject,handles);
set(handles.Play,'Enable','on');
set(handles.Speed,'Enable','on');
set(handles.Slider,'Min',1,'Max',handles.lngth,...
'Value',1,'SliderStep',[0.01 0.1],'Enable','on');
Video_Callback(handles.Video,[],handles);
set(handles.Slider_edit,'Enable','on','String',1);
set(handles.Mark_in,'Enable','on');
set(handles.Mark_out,'Enable','on');
set(handles.Mark_in_edit,'Enable','on','String',1);
set(handles.Mark_out_edit,'Enable','on',...
'String',num2str(handles.lngth));
set(handles.Crop,'Enable','on');
Set_Mark_in_pointer(handles.Mark_in_pointer,1,handles);
Set_Mark_in_pointer(handles.Mark_in_edit,1,handles);
Set_Mark_out_pointer(handles.Mark_out_pointer,...
handles.lngth,handles);
Set_Mark_out_pointer(handles.Mark_out_edit,...
handles.lngth,handles);
Disable_Parameters_Panels(handles);
Target_Init(handles);
%% Disable parameters access while no target selected
function Disable_Parameters_Panels(handles)
set(handles.Uniform,'Enable','off');
set(handles.Triangular,'Enable','off');
set(handles.Epanechnikov,'Enable','off');
set(handles.Gaussian,'Enable','off');
set(handles.Radius_edit,'Enable','off');
set(handles.F_thresh_edit,'Enable','off');
set(handles.Max_iter_edit,'Enable','off');
set(handles.Start,'Enable','off');
- 1
- 2
- 3
- 4
- 5
- 6
- 7
- 8
- 9
- 10
- 11
- 12
- 13
- 14
- 15
- 16
- 17
- 18
- 19
- 20
- 21
- 22
- 23
- 24
- 25
- 26
- 27
- 28
- 29
- 30
- 31
- 32
- 33
- 34
- 35
- 36
- 37
- 38
- 39
- 40
- 41
- 42
- 43
- 44
- 45
- 46
- 47
- 48
- 49
- 50
- 51
- 52
- 53
- 54
- 55
- 56
- 57
- 58
- 59
- 60
- 61
- 62
- 63
- 64
- 65
- 66
- 67
- 68
- 69
- 70
- 71
- 72
- 73
- 74
- 75
- 76
- 77
- 78
- 79
- 80
- 81
- 82
- 83
- 84
- 85
- 86
- 87
- 88
- 89
- 90
- 91
- 92
- 93
- 94
- 95
- 96
- 97
- 98
- 99
- 100
- 101
- 102
- 103
- 104
- 105
- 106
- 107
- 108
- 109
- 110
- 111
- 112
- 113
- 114
- 115
- 116
- 117
- 118
- 119
- 120
- 121
- 122
- 123
- 124
- 125
- 126
- 127
- 128
- 129
- 130
- 131
- 132
- 133
- 134
- 135
- 136
- 137
- 138
- 139
- 140
- 141
- 142
- 143
- 144
- 145
- 146
- 147
- 148
- 149
- 150
- 151
- 152
- 153
- 154
- 155
- 156
- 157
- 158
- 159
- 160
- 161
- 162
- 163
- 164
- 165
- 166
- 167
- 168
- 169
- 170
- 171
- 172
- 173
- 174
- 175
- 176
- 177
- 178
- 179
- 180
- 181
- 182
- 183
- 184
- 185
- 186
- 187
- 188
- 189
- 190
- 191
- 192
- 193
- 194
- 195
- 196
- 197
- 198
- 199
- 200
- 201
- 202
- 203
- 204
三、运行结果

四、matlab版本及参考文献
1 matlab版本
2014a
2 参考文献
[1] 蔡利梅.MATLAB图像处理——理论、算法与实例分析[M].清华大学出版社,2020.
[2]杨丹,赵海滨,龙哲.MATLAB图像处理实例详解[M].清华大学出版社,2013.
[3]周品.MATLAB图像处理与图形用户界面设计[M].清华大学出版社,2013.
[4]刘成龙.精通MATLAB图像处理[M].清华大学出版社,2015.
[5]陈浩,方勇,朱大洲,王成,陈子龙.基于蚁群算法的玉米植株热红外图像边缘检测[J].农机化研究. 2015,37(06)
文章来源: qq912100926.blog.csdn.net,作者:海神之光,版权归原作者所有,如需转载,请联系作者。
原文链接:qq912100926.blog.csdn.net/article/details/115557093
- 点赞
- 收藏
- 关注作者
评论(0)