【优化算法】混沌单纯形法算子布谷鸟搜索优化算法【含Matlab源码 1193期】
一、获取代码方式
获取代码方式1:
完整代码已上传我的资源:【优化算法】混沌单纯形法算子布谷鸟搜索优化算法【含Matlab源码 1193期】
获取代码方式2:
通过订阅紫极神光博客付费专栏,凭支付凭证,私信博主,可获得此代码。
备注:
订阅紫极神光博客付费专栏,可免费获得1份代码(有效期为订阅日起,三天内有效);
二、布谷鸟算法简介
1 介绍
布谷鸟(杜鹃)是一种非常迷人的鸟类,它们不仅能发出各种声音或叫声,还能以不同的方式繁殖。杜鹃科中的犀鹃(Ani Cuckoo)和圭拉鹃(Guira Cuckoo),将它们的蛋放在其他鸟的巢中,从此杜鹃鸟的蛋完全依赖于寄主鸟的照料,这就是巢寄生。
如果寄主鸟发现蛋不是它们的,要么把蛋扔掉,要么放弃巢穴,然后寄主鸟再建一个新的巢穴。为了防止这种情况的发生,雌性布谷鸟已经进化到可以模拟寄主蛋的颜色和纹理,从而降低被遗弃的可能性。同时蛋也会分布在不同的巢中,以减少蛋丢失的机会。如果布谷鸟的蛋没有被识别出来,它通常会在寄主鸟蛋之前孵化,并把其他的蛋从巢中踢出去,这样就能分得更多的食物,甚至有些布谷鸟雏鸟也能模仿寄主雏鸟的叫声。
巢寄生的一个好处是,父母不需要投资筑巢或喂养幼鸟。他们可以花更多的时间在捕食和繁殖上。随着时间的推移,自然选择使寄主鸟和布谷鸟都进化了,使得每一代中最适合的鸟存活下来。布谷鸟的这种繁殖行为是协同进化的最佳模型之一,也是最近发展的优化技术,即布谷鸟搜索的基础。
2 人工布谷鸟搜索
布谷鸟搜索受布谷鸟的巢寄生行为和一些鸟类和果蝇的莱维(Lévy Flight)行为的启发,是由Xin-She Yang和Suash Deb (2009)[2]提出的一种新型的基于群体的优化技术。
布谷鸟算法源于以下三条规则[3]:
每只布谷鸟每次产下一枚蛋,并将其放入随机选择的巢中;
具有优质蛋的最佳巢会被进入到下一代;
可用的寄主巢数量是固定的,且寄主以概率pa∈(0,1)发现布谷鸟放的蛋。在这种情况下,寄主可以消灭该蛋或放弃旧巢另建新巢。
在进一步研究算法之前,先讨论一些数学术语和函数。
2.1 随机变量
任何随机现象的输出都是随机变量,并用X表示。如果一个随机变量只取不同的值,比如1,2,那么它就是离散的;如果它可以在一个区间内取任意值,那它就是连续的。这些通常用曲线下的面积或积分表示。随机变量X在一组结果A上的概率,就是A上和曲线下之间的面积,这条曲线下的总面积必须是1,对于集合A中的任何元素都不应该有负值。这样的曲线称为密度曲线。
2.2 随机游走
随机游走(记为SN)是一系列随机步的和,每一步都由一个随机变量Xi表达:

随机游走的长度可以是固定的,也可以是可变的(取决于步长)。
2.2.1 幂律
当一个量相对变化时会导致两一个量成比例的相对变化时,需要应用幂律(比例律),幂律分布的一般形式是:

其中X和Y是目标变量,α是律指数,k为常量。
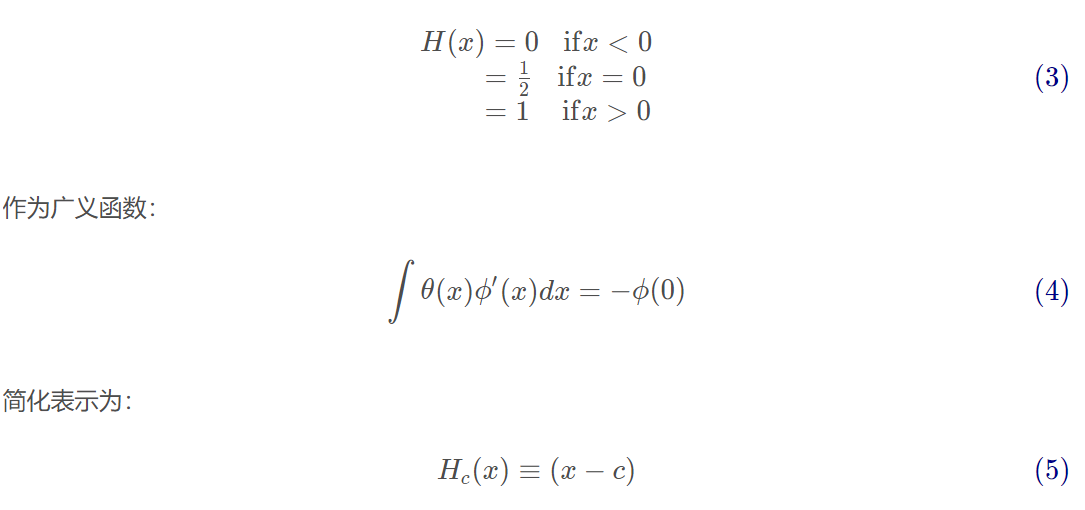
2.3 赫维赛德函数(阶跃函数)
通常用H或θ表示,用于表达分段常数函数或广义函数。
作为分段函数时:

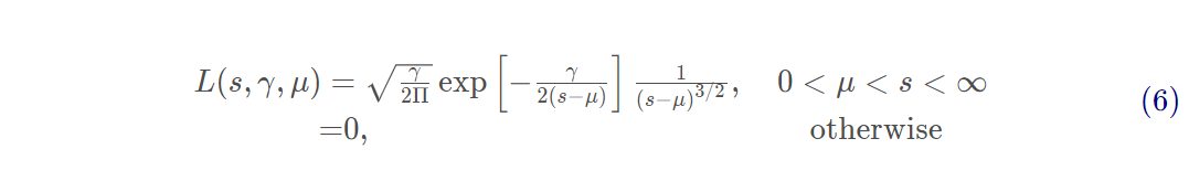
2.4 Lévy(莱维)分布
Lévy分布是非负随机变量的稳定连续概率分布,可以用以下简单的方式表达:

其中µ是最小步长,γ是尺度参数。
6.2.4.1 Lévy飞行
Lévy飞行是步长服从Lévy分布的随机游走,通过下式表达:

其中β是一个索引。
三、部分源代码
%%%%%%%%%%%%%%%%%%%%%%%%%%%%%%%%%%%%%%%
% % % % % % CLSCS算法核心---% % % % % %
%%%%%%%%%%%%%%%%%%%%%%%%%%%%%%%%%%%%%%%
function [ keepglobal] = Cuckoo_search( popsize,pa,xMin,xMax,iter_max,dim,fun )
LB=xMin*ones(1,dim);
UB=xMax*ones(1,dim);
u=3;%混沌系数
fitness=inf*ones(popsize,1); %初始化适应度值
%随机的初始值
for i=1:popsize,
nest(i,:)=LB+(UB-LB).*rand(size(LB));
end
%得到当前最优解
[fbest,bestnest,nest,fitness]=get_best_nest(nest,nest,fitness,fun);
keepglobal(1)=fbest;
fprintf('Run = %d Save_Nr_best = %e\n', 1, fbest);
%%开始循环
for i=2:iter_max
%产生新的解(但保留当前最优的)
new_nest=get_cuckoos(nest,bestnest,LB,UB,iter_max,i);
%单纯形法--去除较差的鸟窝
new_nest=dcxf(popsize,new_nest,fun);
[f_min,best,nest,fitness]=get_best_nest(nest,new_nest,fitness,fun);
%发现并随机选择
new_nest=empty_nests(nest,LB,UB,pa,iter_max,i,fitness);
%评价改解
[f_min,best,nest,fitness]=get_best_nest(nest,new_nest,fitness,fun);
% % % % % % % % % % % % % % % % % % % % % % % % % % % % %
%%对粒子群最优位置进行混沌优化
y(1,:)=(best-xMin)/(xMax-xMin);% 将最优位置映射到Logistic方程的定义域[0,1]
fitness_c(1)=func(y(1,:),fun);
for t=1:popsize-1 %通过Logistic方程进行M次迭代,得到混沌序列
for e=1:dim
y(t+1,e)=u*y(t,e)*(1-y(t,e));
end
y(t+1,:)=xMin+(xMax-xMin)*y(t+1,:);%将混沌序列逆射到原解空间
fitness_c(t+1)=func(y(t+1,:),fun); %计算混沌变量可行解序列的适应度值
end
[ybestfitness ybestindex]=min(fitness_c);%寻找最优混沌可行解矢量
if ybestfitness<f_min
f_min=ybestfitness;
best=y(ybestindex,:);
end
function [fit] = func(x, fun)
%benchmark functions
% Developed by: Dr. Mahamed G.H. Omran (omran.m@gust.edu.kw) 12-May-2011
% Modified and improved by: Maurice Clerc (15-May-2011)
% x is a D-dimensional vector representing the solution we want to evalaute
% fun is the indix of the function of interest
% fit is the fitness of x (i.e. fit = f(x))
D = length(x);
switch(fun)
% case {1,2,3,4,5,6,7,8,9,10,11,12,13,14}, % CEC'05 functions
% NOTE:
% For these functions to work, you need to include the following
% lines in your file:
% global initial_flag
% initial_flag = 0;
% In addition, vector x should be x(1,D) where D is the problem's
% dimension
% fit = benchmark_func(x, fun);
case {1}, % Sphere function
fit = sum(x.^2);
case {2}, % Rastrigin
fit = 10*D + sum(x.^2 - 10*cos(2.*pi.*x));
case {3}, %Step
fit = sum(floor(x + 0.5).^2);
case {4}, %Rosenbrock
f = 0;
for i = 1:1:D-1
f = f + 100*((x(i+1) - x(i)^2)^2) + (1 - x(i))^2;
end
fit = f;
case {5}, %Ackley
fit = -20*exp(-0.2*sqrt(sum(x.^2)/D)) - exp(sum(cos(2*pi .*x))/D) + 20 + exp(1);
case {6}, %Griewank
sum1 = 0;
prod1 = 1;
for i = 1:1:D
sum1 = sum1 + (x(i)^2/4000);
prod1 = prod1*cos(x(i)/sqrt(i));
end
fit = sum1 - prod1 + 1;
case {7}, %Salomon
fit = -cos(2*pi*sqrt(sum(x.^2))) + 0.1*sqrt(sum(x.^2)) + 1;
case {8}, %Quartic function
sum1 = 0;
for i = 1:1:D
sum1 = sum1 + i*x(i)^4;
end
fit = sum1 + rand();
case {9}, %Alpine
sum1 = 0;
for i=1:1:D
sum1 = sum1 + abs(x(i)*sin(x(i)) + 0.1*x(i));
end
fit = sum1;
case {10}, %Six Hump Camel bsck
fit = 4*x(1).^2 - 2.1*x(1).^4 + (1/3)*x(1).^6 + x(1)*x(2) - 4*x(2)^2 + 4*x(2).^4;
case {11}, % Branin
fit = (x(2)-(5.1/(4*pi^2))*x(1)^2+5*x(1)/pi-6)^2+10*(1-1/(8*pi))*cos(x(1))+10;
case {12}, % Shubert
sum0 = 0;
sum1 = 0;
for j=1:1:5
sum0 = sum0 + j*cos((j+1)*x(1) + j);
sum1 = sum1 + j*cos((j+1)*x(2) + j);
end
fit = sum0*sum1;
case {13}, % Easom
fit = -cos(x(1))*cos(x(2))*exp(-((x(1) - pi)^2 + (x(2) - pi)^2));
case {14}, % Shekel function
% Matlab Code by A. Hedar (Nov. 23, 2005).
% The number of variables n = 4
% The parameter m should be adjusted m = 5,7,10.
% The default value of m = 10.
%
m = 10;
a = ones(10,4);
a(1,:) = 4.0*a(1,:);
a(2,:) = 1.0*a(2,:);
a(3,:) = 8.0*a(3,:);
a(4,:) = 6.0*a(4,:);
for j = 1:2;
a(5,2*j-1) = 3.0; a(5,2*j) = 7.0;
a(6,2*j-1) = 2.0; a(6,2*j) = 9.0;
a(7,j) = 5.0; a(7,j+2) = 3.0;
a(8,2*j-1) = 8.0; a(8,2*j) = 1.0;
a(9,2*j-1) = 6.0; a(9,2*j) = 2.0;
a(10,2*j-1)= 7.0; a(10,2*j)= 3.6;
end
c(1) = 0.1; c(2) = 0.2; c(3) = 0.2; c(4) = 0.4; c(5) = 0.4;
c(6) = 0.6; c(7) = 0.3; c(8) = 0.7; c(9) = 0.5; c(10)= 0.5;
s = 0;
for j = 1:m;
p = 0;
for i = 1:4
p = p+(x(i)-a(j,i))^2;
end
s = s+1/(p+c(j));
end
fit = -s;
otherwise,
error('No such function');
fit = -1;
end
% fit=abs(fit-opt_f);
end
- 1
- 2
- 3
- 4
- 5
- 6
- 7
- 8
- 9
- 10
- 11
- 12
- 13
- 14
- 15
- 16
- 17
- 18
- 19
- 20
- 21
- 22
- 23
- 24
- 25
- 26
- 27
- 28
- 29
- 30
- 31
- 32
- 33
- 34
- 35
- 36
- 37
- 38
- 39
- 40
- 41
- 42
- 43
- 44
- 45
- 46
- 47
- 48
- 49
- 50
- 51
- 52
- 53
- 54
- 55
- 56
- 57
- 58
- 59
- 60
- 61
- 62
- 63
- 64
- 65
- 66
- 67
- 68
- 69
- 70
- 71
- 72
- 73
- 74
- 75
- 76
- 77
- 78
- 79
- 80
- 81
- 82
- 83
- 84
- 85
- 86
- 87
- 88
- 89
- 90
- 91
- 92
- 93
- 94
- 95
- 96
- 97
- 98
- 99
- 100
- 101
- 102
- 103
- 104
- 105
- 106
- 107
- 108
- 109
- 110
- 111
- 112
- 113
- 114
- 115
- 116
- 117
- 118
- 119
- 120
- 121
- 122
- 123
- 124
- 125
- 126
- 127
- 128
- 129
- 130
- 131
- 132
- 133
- 134
- 135
- 136
- 137
- 138
- 139
- 140
- 141
- 142
- 143
- 144
- 145
- 146
- 147
- 148
- 149
- 150
- 151
- 152
- 153
- 154
- 155
- 156
- 157
- 158
- 159
- 160
- 161
- 162
- 163
- 164
- 165
- 166
- 167
- 168
- 169
- 170
四、运行结果

五、matlab版本及参考文献
1 matlab版本
2014a
2 参考文献
[1] 包子阳,余继周,杨杉.智能优化算法及其MATLAB实例(第2版)[M].电子工业出版社,2016.
[2]张岩,吴水根.MATLAB优化算法源代码[M].清华大学出版社,2017.
文章来源: qq912100926.blog.csdn.net,作者:海神之光,版权归原作者所有,如需转载,请联系作者。
原文链接:qq912100926.blog.csdn.net/article/details/119493065
- 点赞
- 收藏
- 关注作者
评论(0)