【运动学】基于matlab EKF姿态估计【含Matlab源码 1638期】
【摘要】
一、获取代码方式
获取代码方式1: 完整代码已上传我的资源:【运动学】基于matlab EKF姿态估计【含Matlab源码 1638期】
获取代码方式2: 通过订阅紫极神光博客付费专栏,凭支付凭证,私...
一、获取代码方式
获取代码方式1:
完整代码已上传我的资源:【运动学】基于matlab EKF姿态估计【含Matlab源码 1638期】
获取代码方式2:
通过订阅紫极神光博客付费专栏,凭支付凭证,私信博主,可获得此代码。
备注:
订阅紫极神光博客付费专栏,可免费获得1份代码(有效期为订阅日起,三天内有效);
二、卡尔曼滤波算法(EKF)简介
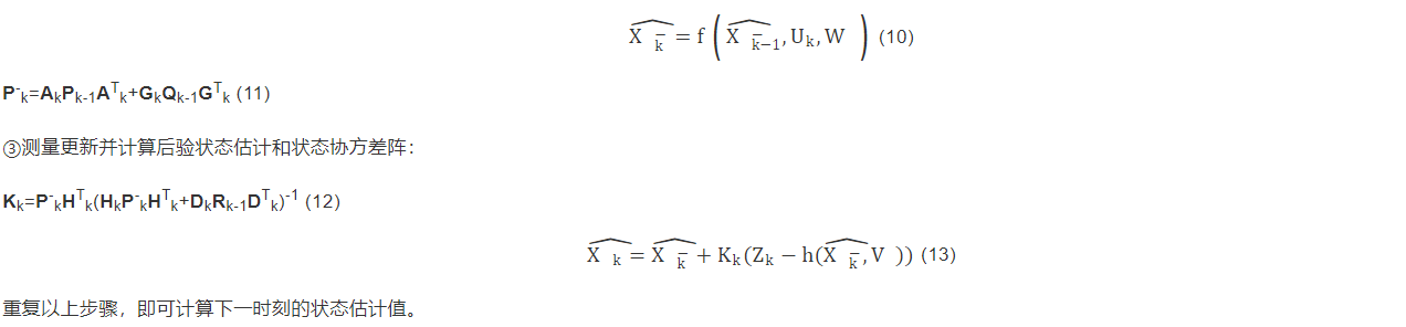
EKF滤波方法的实现步骤
组合测姿系统的状态方程形式上较为复杂,采用扩展卡尔曼滤波方法,需先将其线性化,并计算雅可比矩阵。
对于此非线性系统,其状态方程和观测方程可写为

式中:W¯¯¯¯和V¯¯¯分别为过程噪声与测量噪声期望,在本文的高斯分布下为0。令过程噪声协方差阵为Q,观测噪声协方差阵为R,P为状态协方差。
EKF的实现步骤如下。
①计算相应雅可比矩阵。
②时间更新:

三、部分源代码
% 基于EKF的姿态估计算法
% 导航坐标系:东北天坐标系(ENU)
% IMU:16375
% 载体坐标系:右前上(XYZ)
% 旋转方式:Z-X-Y(偏航-俯仰-横滚)右手定则
clc;
clear;
close all;
addpath('utils');
addpath('datafiles');
rad2deg = 180/pi;
deg2rad = pi/180;
%% 读取IMU原始数据
filename = 'session.txt';
sensor_data = load(filename);
gap=1;
data_num=round(size(sensor_data,1));
j=0;
for i=1:gap:data_num-gap
j=j+1;
DATA_CNTR(j,1) = i;
X_GYRO(j,1) = mean(sensor_data(i:i+gap-1,1));
Y_GYRO(j,1) = mean(sensor_data(i:i+gap-1,2));
Z_GYRO(j,1) = mean(sensor_data(i:i+gap-1,3));
X_ACCL(j,1) = mean(sensor_data(i:i+gap-1,4));
Y_ACCL(j,1) = mean(sensor_data(i:i+gap-1,5));
Z_ACCL(j,1) = mean(sensor_data(i:i+gap-1,6));
X_MAG(j,1) = mean(sensor_data(i:i+gap-1,7));
Y_MAG(j,1) = mean(sensor_data(i:i+gap-1,8));
Z_MAG(j,1) = mean(sensor_data(i:i+gap-1,9));
end
%% 初始化数据
L = size(DATA_CNTR,1);
Time=zeros(L,1);
Time(1,1)=0.01;
acc = [X_ACCL, Y_ACCL, Z_ACCL];
gyro_bias = [0.01, 0.01, 0.01];
gyro = [X_GYRO - gyro_bias(1), Y_GYRO - gyro_bias(2), Z_GYRO - gyro_bias(3)];
mag = [X_MAG, Y_MAG, Z_MAG];
%角速度过程噪声,四元数噪声
w_process_noise = 0.0001 * ones(1, 4);
%角速度偏移过程噪声
w_bias_process_noise = 0.003 * ones(1,3);
%过程噪声矩阵
Q = diag([w_process_noise, w_bias_process_noise]);
%disp(Q);
%加速度计测量噪声
a_measure_noise = 0.03 * ones(1, 3);
%磁力计测量噪声
m_measure_noise = 1e-5 * ones(1, 3);
%测量噪声矩阵
R = diag(a_measure_noise);
%disp(R)
%状态矩阵
X = zeros(L, 7);
%初始化状态矩阵
[pitch_init, roll_init, yaw_init] = acc2euler_ENU(acc(1, :), mag(1, :));
%初始化角度
pitchEKF(1,1) = pitch_init*rad2deg;
rollEKF(1,1) = roll_init*rad2deg;
yawEKF(1,1) = yaw_init*rad2deg;
disp(pitchEKF);
disp(rollEKF);
disp(yawEKF);
%初始化四元数
[q1, q2, q3, q4] = euler2quat_ENU(pitch_init, roll_init, yaw_init);
q_init = [q1, q2, q3, q4];
[pitch_init1,roll_init1,yaw_init1] = quat2euler_ENU(q_init);
disp(pitch_init1);
disp(roll_init1);
disp(yaw_init1);
X(1,:) = [q1, q2, q3, q4, gyro_bias];
%协方差矩阵
Pk = zeros(7, 7, L);
Pk(:,:,1) = eye(7);
%disp(P);
%观测矩阵
Z = zeros(L, 3);
%delta_t
T = 0.01;
att = zeros(L, 3);
acc_att = zeros(L, 3);
%% EKF滤波
for k=1:L
Time(k+1,1)=Time(k)+T;
[pitch_, roll_, yaw_] = acc2euler_ENU(acc(k,:), mag(k,:));
acc_att(k,:) = [pitch_*rad2deg, roll_*rad2deg, yaw_*rad2deg];
%加速度计/磁力计数据归一化
acc(k, :) = acc(k, :) / norm(acc(k, :), 2);
mag(k, :) = mag(k, :) / norm(mag(k, :), 2);
Z(k, :) = acc(k, :);
A_11=[1,-(T/2)*gyro_x_bias,-(T/2)*gyro_y_bias,-(T/2)*gyro_z_bias;
(T/2)*gyro_x_bias,1,(T/2)*gyro_z_bias,-(T/2)*gyro_y_bias;
(T/2)*gyro_y_bias,-(T/2)*gyro_z_bias,1,(T/2)*gyro_x_bias;
(T/2)*gyro_z_bias,(T/2)*gyro_y_bias,-(T/2)*gyro_x_bias,1];
A_12=[0,0,0;
0,0,0;
0,0,0;
0,0,0];
A_21=[0,0,0,0;
0,0,0,0;
0,0,0,0];
A_22=[1,0,0;
0,1,0;
0,0,1];
A=[A_11,A_12;A_21,A_22];
Ak = eye(7)+T/2*...
[0 -(gyro_x_bias) -(gyro_y_bias) -(gyro_z_bias) X(k,2) X(k,3) X(k,4);
(gyro_x_bias) 0 (gyro_z_bias) -(gyro_y_bias) -X(k,1) X(k,4) -X(k,3);
(gyro_y_bias) -(gyro_z_bias) 0 (gyro_x_bias) -X(k,4) -X(k,1) X(k,2);
(gyro_z_bias) (gyro_y_bias) -(gyro_x_bias) 0 X(k,3) -X(k,2) -X(k,1);
0 0 0 0 0 0 0;
0 0 0 0 0 0 0;
0 0 0 0 0 0 0];
X_ = (A*X(k,:)')';
X_(1:4) = X_(1:4)/norm(X_(1:4),2);
Pk_ = Ak * Pk(:,:,k) * Ak' + Q;
hk = [2*(X_(2)*X_(4)-X_(1)*X_(3)) 2*(X_(1)*X_(2)+X_(3)*X_(4)) X_(1)^2+X_(4)^2-X_(2)^2-X_(3)^2];
Hk = 2*[-X_(3) X_(4) -X_(1) X_(2) 0 0 0;
X_(2) X_(1) X_(4) X_(3) 0 0 0;
X_(1) -X_(2) -X_(3) X_(4) 0 0 0;];
Kk = Pk_ * Hk' * ((Hk * Pk_ * Hk' + R)^(-1));
X(k+1,:) = (X_' + Kk * (Z(k,:) - hk)')';
X(k+1,1:4) = X(k+1,1:4)/norm(X(k+1,1:4),2);
Pk(:,:,k+1) = (eye(7) - Kk*Hk) * Pk_;
q=[X(k,1),X(k,2),X(k,3),X(k,4)];
[pitchEKF(k,1),rollEKF(k,1),yawEKF(k,1)] = quat2euler_ENU(q);
end
- 1
- 2
- 3
- 4
- 5
- 6
- 7
- 8
- 9
- 10
- 11
- 12
- 13
- 14
- 15
- 16
- 17
- 18
- 19
- 20
- 21
- 22
- 23
- 24
- 25
- 26
- 27
- 28
- 29
- 30
- 31
- 32
- 33
- 34
- 35
- 36
- 37
- 38
- 39
- 40
- 41
- 42
- 43
- 44
- 45
- 46
- 47
- 48
- 49
- 50
- 51
- 52
- 53
- 54
- 55
- 56
- 57
- 58
- 59
- 60
- 61
- 62
- 63
- 64
- 65
- 66
- 67
- 68
- 69
- 70
- 71
- 72
- 73
- 74
- 75
- 76
- 77
- 78
- 79
- 80
- 81
- 82
- 83
- 84
- 85
- 86
- 87
- 88
- 89
- 90
- 91
- 92
- 93
- 94
- 95
- 96
- 97
- 98
- 99
- 100
- 101
- 102
- 103
- 104
- 105
- 106
- 107
- 108
- 109
- 110
- 111
- 112
- 113
- 114
- 115
- 116
- 117
- 118
- 119
- 120
- 121
- 122
- 123
- 124
- 125
- 126
- 127
- 128
- 129
- 130
- 131
- 132
- 133
- 134
- 135
- 136
- 137
- 138
- 139
- 140
- 141
- 142
- 143
- 144
- 145
- 146
- 147
- 148
- 149
- 150
- 151
- 152
- 153
- 154
- 155
- 156
- 157
- 158
四、运行结果



五、matlab版本及参考文献
1 matlab版本
2014a
2 参考文献
[1] 包子阳,余继周,杨杉.智能优化算法及其MATLAB实例(第2版)[M].电子工业出版社,2016.
[2]张岩,吴水根.MATLAB优化算法源代码[M].清华大学出版社,2017.
[3]许立松,马国梁,闻泉,王雨时.基于无迹卡尔曼滤波的火箭弹姿态估计[J].弹道学报. 2021,33(04)
文章来源: qq912100926.blog.csdn.net,作者:海神之光,版权归原作者所有,如需转载,请联系作者。
原文链接:qq912100926.blog.csdn.net/article/details/122139396
【版权声明】本文为华为云社区用户转载文章,如果您发现本社区中有涉嫌抄袭的内容,欢迎发送邮件进行举报,并提供相关证据,一经查实,本社区将立刻删除涉嫌侵权内容,举报邮箱:
cloudbbs@huaweicloud.com
- 点赞
- 收藏
- 关注作者

评论(0)