【手把手带你刷LeetCode】——09.二叉搜索树的范围和(递归法)
【摘要】
【前言】
今天是力扣打卡第9天!
Fighting!!
原题:二叉搜索树的范围和
题目描述:
给定二叉搜索树的根结点 root,返回值位于范围 [low, high] 之间的所有结点的值的和。
示例1:
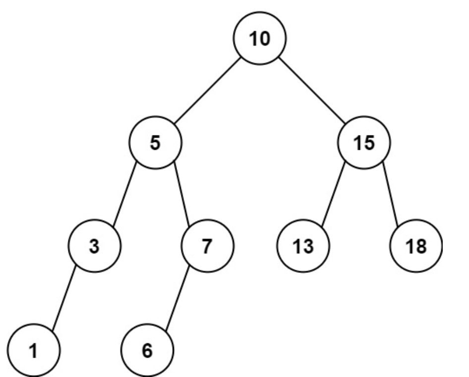
输入:root = [10,5,15,3,7,...
【前言】
今天是力扣打卡第9天!
Fighting!!

原题:二叉搜索树的范围和
题目描述:
给定二叉搜索树的根结点 root,返回值位于范围 [low, high] 之间的所有结点的值的和。
示例1:
-
输入:root = [10,5,15,3,7,null,18], low = 7, high = 15
-
输出:32
示例2:

-
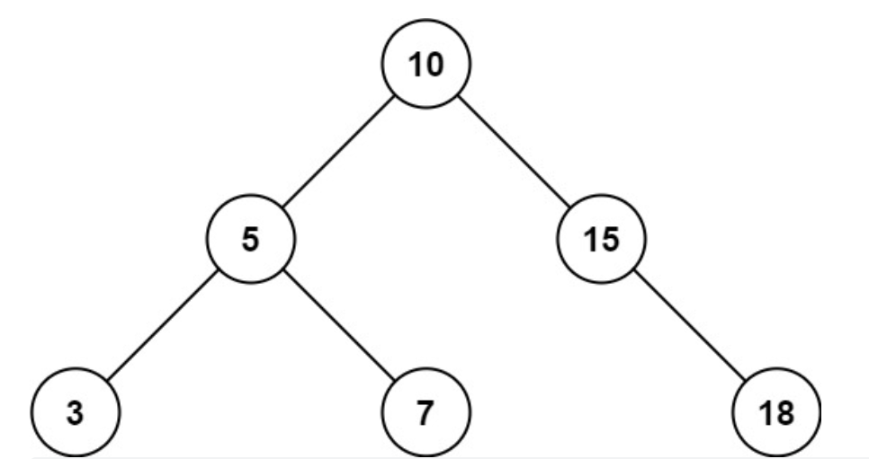
输入:root = [10,5,15,3,7,13,18,1,null,6], low = 6, high = 10
-
输出:23
题解:
做递归题目就是将每一层执行的递归图画出来,不能懒,画出来去感受,用不了几题,你会发现递归的解法真的很妙。
代码执行:
-
/**
-
* Definition for a binary tree node.
-
* struct TreeNode {
-
* int val;
-
* struct TreeNode *left;
-
* struct TreeNode *right;
-
* };
-
*/
-
-
-
int rangeSumBST(struct TreeNode* root, int low, int high){
-
//方法一:递归法
-
//找边界
-
if(root == NULL){
-
return 0;
-
}
-
//左子树
-
int leftSum = rangeSumBST(root->left, low, high);//有点分治的味儿了
-
//右子树
-
int rightSum = rangeSumBST(root->right, low, high);
-
int result = leftSum + rightSum;
-
//判断根节点值
-
if(root->val >= low && root->val <= high){
-
result += root->val;
-
}
-
return result;
-
}
复杂度分析:
时间复杂度:O(N)----二叉搜索树节点的个数
空间复杂度:O(N)----递归调用栈的深度
总结:
今天是力扣打卡第9天!
时光不老,我们不散,咱们明天再见!!
送给每一位为梦想坚持的小友们!!!

文章来源: bit-runout.blog.csdn.net,作者:安然无虞,版权归原作者所有,如需转载,请联系作者。
原文链接:bit-runout.blog.csdn.net/article/details/121196600
【版权声明】本文为华为云社区用户转载文章,如果您发现本社区中有涉嫌抄袭的内容,欢迎发送邮件进行举报,并提供相关证据,一经查实,本社区将立刻删除涉嫌侵权内容,举报邮箱:
cloudbbs@huaweicloud.com
- 点赞
- 收藏
- 关注作者
评论(0)