【手把手带你刷LeetCode】——11.二叉搜索树的范围和(DFS)
        【摘要】 
                    【前言】 
 
 今天是力扣打卡第11天! 
 感谢铁汁们的陪伴,一起加油鸭!! 
 
 
在第9天的时候写过这道题的递归解题方法,其实DFS使用的解题思想就是递归,所以大同小异啦。大家简单看一下纯递归的解法: 
https://blog.csdn.net/weixin_57544072/article/details/12119660...
    
    
    
    【前言】
今天是力扣打卡第11天!
感谢铁汁们的陪伴,一起加油鸭!!

在第9天的时候写过这道题的递归解题方法,其实DFS使用的解题思想就是递归,所以大同小异啦。大家简单看一下纯递归的解法:
https://blog.csdn.net/weixin_57544072/article/details/121196600?spm=1001.2014.3001.5502
原题:二叉搜索树的范围和(DFS解法)
题目描述:
给定二叉搜索树的根结点 root,返回值位于范围 [low, high] 之间的所有结点的值的和。 
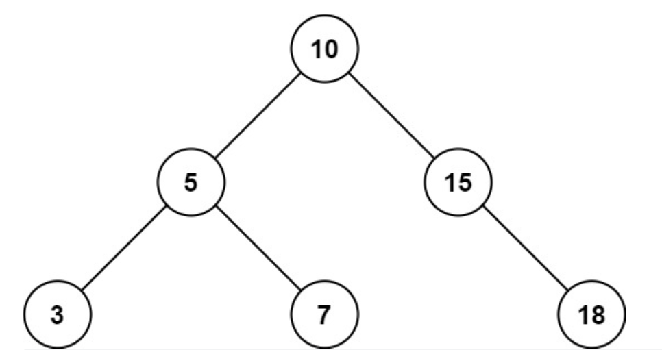
示例1:
 
 
  
   - 
    
     
    
    
     
      输入:root = [10,5,15,3,7,null,18], low = 7, high = 15
     
    
- 
    
     
    
    
     
      输出:32
     
    
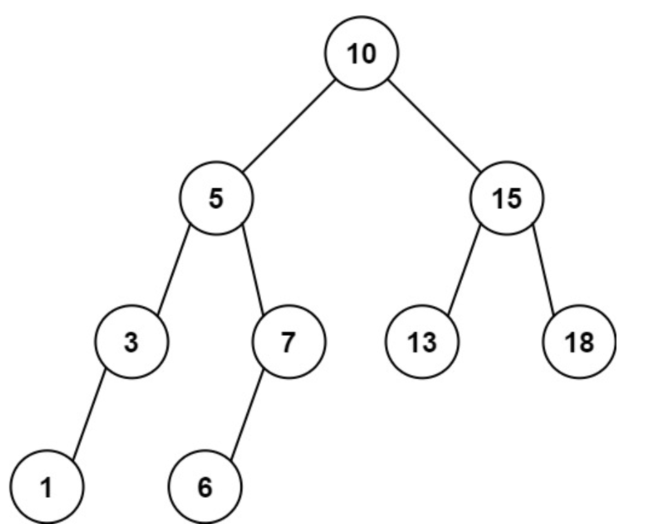
 示例2:

  
   - 
    
     
    
    
     
      输入:root = [10,5,15,3,7,13,18,1,null,6], low = 6, high = 10
     
    
- 
    
     
    
    
     
      输出:23
     
    
 题解 :
全都在代码里头咯。
代码执行:
  
   - 
    
     
    
    
     
      /**
     
    
- 
    
     
    
    
     
       * Definition for a binary tree node.
     
    
- 
    
     
    
    
     
       * struct TreeNode {
     
    
- 
    
     
    
    
     
       * int val;
     
    
- 
    
     
    
    
     
       * struct TreeNode *left;
     
    
- 
    
     
    
    
     
       * struct TreeNode *right;
     
    
- 
    
     
    
    
     
       * };
     
    
- 
    
     
    
    
     
       */
     
    
- 
    
     
    
    
      
     
    
- 
    
     
    
    
      
     
    
- 
    
     
    
    
     
      int rangeSumBST(struct TreeNode* root, int low, int high){
     
    
- 
    
     
    
    
         // //方法一:递归法
     
    
- 
    
     
    
    
         // //找边界
     
    
- 
    
     
    
    
         // if(root == NULL){
     
    
- 
    
     
    
    
         // return 0;
     
    
- 
    
     
    
    
         // }
     
    
- 
    
     
    
    
         // //左子树
     
    
- 
    
     
    
    
         // int leftSum = rangeSumBST(root->left, low, high);
     
    
- 
    
     
    
    
         // //右子树
     
    
- 
    
     
    
    
         // int rightSum = rangeSumBST(root->right, low, high);
     
    
- 
    
     
    
    
         // int result = leftSum + rightSum;
     
    
- 
    
     
    
    
         // //判断根节点
     
    
- 
    
     
    
    
         // if(root->val >= low && root->val <= high){
     
    
- 
    
     
    
    
         // result += root->val;
     
    
- 
    
     
    
    
         // }
     
    
- 
    
     
    
    
         // return result;
     
    
- 
    
     
    
    
      
     
    
- 
    
     
    
    
         //方法二:DFS
     
    
- 
    
     
    
    
         //判断特殊情况
     
    
- 
    
     
    
    
         if(root == NULL){
     
    
- 
    
     
    
    
             return 0;
     
    
- 
    
     
    
    
     
          }
     
    
- 
    
     
    
    
         //如果根节点的值大于high,那么右子树不满足,此时只需要判断左子树
     
    
- 
    
     
    
    
         if(root->val > high){
     
    
- 
    
     
    
    
             return rangeSumBST(root->left, low, high);
     
    
- 
    
     
    
    
     
          }
     
    
- 
    
     
    
    
         //如果根节点的值小于low,那么左子树一定不满足,此时只需要判断右子树
     
    
- 
    
     
    
    
         if(root->val < low){
     
    
- 
    
     
    
    
             return rangeSumBST(root->right, low, high);
     
    
- 
    
     
    
    
     
          }
     
    
- 
    
     
    
    
         //否则如果根节点的值在low和high之间,那么三者都需要判断
     
    
- 
    
     
    
    
         return root->val + rangeSumBST(root->left, low, high) + rangeSumBST(root->right, low, high);
     
    
- 
    
     
    
    
     
      }
     
    
 复杂度分析:
时间复杂度:O(N), 取决于二叉搜索树的节点数;
空间复杂度:O(N),取决于递归调用栈空间的开销。
总结:
今天是力扣打卡第11天!
时间很紧,博主和铁汁们一起坚持,加油!!
 
 
文章来源: bit-runout.blog.csdn.net,作者:安然无虞,版权归原作者所有,如需转载,请联系作者。
原文链接:bit-runout.blog.csdn.net/article/details/121202376
        【版权声明】本文为华为云社区用户转载文章,如果您发现本社区中有涉嫌抄袭的内容,欢迎发送邮件进行举报,并提供相关证据,一经查实,本社区将立刻删除涉嫌侵权内容,举报邮箱:
            cloudbbs@huaweicloud.com
        
        
        
        
        
        
        - 点赞
- 收藏
- 关注作者
 
             
           
评论(0)