【数据结构与算法】——动态规划
一、前言
在平时的编程中,你是否遇到过辛辛苦苦写的代码却运行超时的情况?时间复杂度是算法效率的一个重要的指标,该如何优化算法呢?动态规划(简称:DP) 即是一个不错的选择。DP是解决多阶段决策过程中最优化问题的一种常用方法,它在算法中的重要性不言而喻,本文将帮助大家简单了解DP。
二、基本概念
在了解动态规划的基本概念前,我们先说几个动态规划的术语。
2.1 阶段: 将所给问题的过程,恰当的分为若干相互联系的阶段,以便能按一定的次序求解问题。阶段的划分一般是根据时间和空间的特征进行的,但是要能够把问题的过程转化为多阶段决策问题。换句话说就是拆分问题,把一个大规模的问题拆分为多个小规模的问题。
2.2状态: 状态表示每个阶段开始所处的自然状况或者客观条件。其中描述状态的变量称为状态变量。
2.3 决策: 决策表示当过程处于某一阶段某一状态时,可以做出的决定,从而确定下一阶段的状态,这个决定就叫做决策。描述决策的变量称为决策变量,实际问题中决策变量的取值常常限制在某一范围内,此范围称为允许决策集合。
2.4 策略: 由每个阶段的决策组成的序列称为策略。对于每一个实际的多阶段决策过程,可供选择的策略有一定的范围限制,这个范围称为允许策略集合,允许策略集合达到最优效果的策略称为最优策略。
2.5多阶段决策问题: 在解决问题时,决策者在整个决策过程中做出时间上先后有别的多项决策。

明确这几个术语后,我们来给DP下个定义,DP是通过拆分问题(阶段),(通过决策)定义问题状态和状态之间的关系(策略),使得问题能够以多个子问题递推的方式去解决。
三、核心思想
算法的核心思想包括算法的特性和使用条件,动态规划解决的问题需满足无后效性和最优性原理。
3.1无后效性: 某阶段的状态一旦确定,则此后过程的演变不再受此前各种状态及决策的影响。这是百度百科给出的定义,有点难以理解。我们来举一个简单的例子,假如小明要从A地前往B地,要求每次只能先前走一步或者先左走一步,当小明走到C地进行决策下一步时,不管小明如何选择都与小明怎么走到C地无关,也就是说“过去不影响未来”。如果改变条件,小明可以任意走但是不能重复走过的路,那么小明在C地时就要考虑不能走之前走过的路了,也就是说“过去影响未来”。
3.2最优性原理: 一个最优化策略具有这样的性质,不论过去状态和决策如何,对前面的决策所形成的状态而言,余下的诸决策必须构成最优策略。简而言之,一个最优化策略的子策略总是最优的。一个问题满足最优化原理又称其具有最优子结构性质。这个也容易证明,比如前文所说的小明走路问题,如果要找小明从A地到B地最短路径,那么当小明走到C地时,在从C地到B地的路径也必定是最短的,用反证法来说,如果从C地到B地的路径不是最短的,那么从A到B的路径也就不是最短路径了,也就不满足题意了。
3.3状态转移方程: 确定过程由一个状态到另一个状态的演变过程。状态转移方程是动态规划的重点也是难点,找到状态转移方程问题也就迎刃而解了。状态转移方程通常是分析状态之间的递推关系来确定,具体情况因实际问题而有所不同。状态转移方程总是伴随着边界条件,简单理解边界条件就是状态转移方程终止或不满足的条件。
3.4自下而上:从最开始的阶段1通过不断决策迭代进行计算并将结果保存,得到所有阶段解的集合最终解决问题。
结合例题来理解
力扣(LeetCode) 70.爬楼梯 (https://leetcode-cn.com/problems/climbing-stairs)
假设你正在爬楼梯。需要 n 阶你才能到达楼顶。
每次你可以爬 1 或 2 个台阶。你有多少种不同的方法可以爬到楼顶呢?
注意: 给定 n 是一个正整数。
示例:
输入:3
输出:3
解释:有三种方法可以爬楼梯。
1阶+1阶+1阶
1阶+2阶
2阶+1阶
我们先来分析下问题,我们把爬n阶楼梯分解为多阶段的子问题,在到达楼顶前每一个阶段我们都有两个决策,爬1个台阶或者爬2个台阶并且易得知满足无后效性,接下来我们找状态转移方程,先来看递推关系,倘若想到达第n阶,那么我们有两种方式,从n-1阶爬1个台阶或者从第n-2阶爬2个台阶,所以递推关系式即是F(n)=F(n-1)+F(n-2)。看到这个关系式,相必大家都不陌生,这不就是斐波那契数列的递推关系式,我用递归把它秒杀了,还需要什么动态规划吗?
需不需要我们来分析下两种算法的效率
首先看递归方法,递归的原理大家都很熟悉,我就不详细介绍了,直接上代码。
class Solution {
public int climbStairs(int n) {
if (n == 1) {
return 1;
} else if (n == 2) {
return 2;
}
//递推关系式
return climbStairs(n - 1) + climbStairs(n - 2);
}
}
运行超时

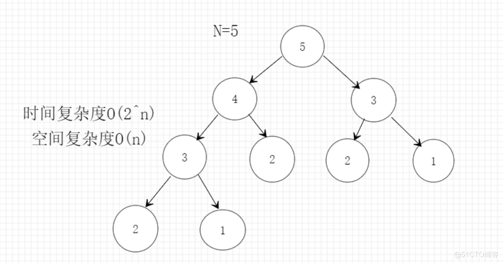
值得一提的是,递归是自上而下的,与我们的动态规划正好相反,我们画个递归树

在进行递归运算时存在大量的重复计算,我们假设数的深度为n,则结点数为2^n 因此时间复杂度为O( n ^ 2)。如果n的值稍微大一些我们的程序就会运行超时。因此我们就像前文中所说的使用动态规划来优化代码。
首先我们先确定DP的状态和转移方程
- 状态变量: dp[n]表示爬n阶台阶的所有可能情况的总和
- 状态转移方程: dp(n) = dp(n-1) +dp(n-2)
- 初始条件: dp(0)=0
- 边界条件: 因为n是正整数,故不需要考虑n<0的情况,等于n即终止状态转移方程
就是我们前文说到的递推关系式,由动态规划特性自下而上,我们每次进行计算后就保存计算结果,这样保证每次计算都只是计算一次,继而解决重复计算的问题。代码如下:
class Solution {
public int climbStairs(int n) {
//特判,防止n=1时dp[2]下标越界
if (n==1) {
return 1;
}
//定义数组用来存储每次计算的结果
int[] dp=new int[n+1];
dp[1]=1;
dp[2]=2;
for (int i = 3; i <= n; i++) {
//状态转移方程
dp[i]=dp[i-1]+dp[i-2];
}
return dp[n];
}
}
这样我们就用DP将时间复杂度优化为了O(n),空间复杂度O(n) ,当然我们也可以直接用递推关系式来优化空间复杂度,还可以根据斐波那契数列的闭公式直接解决,因为本文介绍动态规划就不详述了。
解决爬楼梯问题后我们再来看一道题加深印象
力扣(LeetCode) 322.零钱兑换(https://leetcode-cn.com/problems/coin-change)
给定不同面额的硬币 coins 和一个总金额amount。编写一个函数来计算可以凑成总金额所需的最少的硬币个数。如果没有任何一种硬币组合能组成总金额,返回 -1。
你可以认为每种硬币的数量是无限的。
示例:
输入:coins = [1,2,5], amount=11
输出:3
解释:11=5+5+1
这道题和爬楼梯和相同之处,决策换成不同硬币的面额,爬到楼顶换成了凑成硬币总金额。假设有n枚硬币凑成总金额amount,那么必定满足第n-1枚硬币的总金额=amount-第n枚硬币的面额,因此我们把凑amount至少所用硬币数转化成了凑amount-第n枚硬币的面额至少所用硬币数。我们可以用一维数组来存储硬币的金额和个数,(当然也可用二维数组)。
-
状态变量:dp[n]表示当前所凑硬币总金额为n,至少所需的硬币数
-
状态转移方程:当n=0时,dp(n)=0.
当n<0时,dp(n)=-1. 当n>0时,dp(n)={ min(dp(n-coin)+1)| coin∈coins }
dp[i] = Math.min(dp[i], dp[i - coin] + 1);
i为硬币的总金额,dp[i] 为最少所用的硬币数
coin为可供选择的硬币面额
- 初始条件: dp(0)= 0 当总金额为0时,所需硬币数为0
- 边界条件: i-coin<0 表示不能凑成所给的总金额amount
代码如下:
class Solution {
public int coinChange(int[] coins, int amount) {
int[] dp = new int[amount + 1];
//将数组所有数置为最大值 作用:保证可以用给定面额硬币拼凑的总金额数是有意义的
Arrays.fill(dp, Integer.MAX_VALUE);
//定义初始条件
dp[0] = 0;
//当amount为0时,所需硬币数为0
if (amount == 0) {
return 0;
}
for (int coin : coins) {
for (int i = coin; i <= amount; i++) {
//如果可以凑成差值
if (dp[i - coin] != Integer.MAX_VALUE) {
//状态转移方程 可以凑成差值
//在原有的基础上 和 用新面额硬币替换原来的金额并更新硬币个数 两者之中选出最小的硬币个数
dp[i] = Math.min(dp[i - coin] + 1, dp[i]);
}
}
}
//如果dp[amount]=Integer.MAX_VALUE 那么说明用任意所给硬币面额随意拼凑都不能满足amount总金额
return dp[amount] < Integer.MAX_VALUE ? dp[amount] : -1;
}
}
时间复杂度为O(An) A表示总金额数,n表示硬币面额的个数,我们一共需要计算O(n) 个状态,每个状态需要遍历A次进行状态转移,因此时间复杂度为O(An) , 空间复杂度为O(n)
四、总结
解决动态规划问题的一般步骤
1.划分阶段: 按照具体问题的时间或空间的特征,把问题分成若干个阶段,阶段还需要有顺序,如果没有顺序也就无法进行下一步的决策。
2.确定状态和状态变量: 将每个阶段所处的自然状况或客观条件,用状态变量表示出来,状态要满足无后效性。
3.明确决策找到状态转移方程: 在具体的问题中找到题干中所描述的决策和允许决策集合,由阶段n逆向分析找到推出此阶段的关系式,列出状态转移方程。
4.找到边界条件: 状态转移方程是一个递推式,需要找到终止条件和边界的条件。
最后动态规划作为一种经典算法,它所涵盖的知识是非常广泛和深刻的,本文仅作为动态规划的入门级学习。
- 点赞
- 收藏
- 关注作者
评论(0)