<LeetCode天梯>Day026 反转链表(递归法+(迭代法)双链表法) | 初级算法 | Python
每日推荐一首歌:Exile-Alyssa Taylor / Melissa Swift
以下为我的天梯积分规则:
每日至少一题:一题积分+10分
若多做了一题(或多一种方法解答),则当日积分+20分(+10+10)
若做了三道以上,则从第三题开始算+20分(如:做了三道题则积分-10+10+20=40;做了四道题则积分–10+10+20+20=60)
初始分为100分
若差一天没做题,则扣积分-10分(周六、周日除外注:休息)
坚持!!!
初级算法
刷题目录
链表

题干
给你单链表的头节点 head ,请你反转链表,并返回反转后的链表。
示例1:

输入:head = [1,2,3,4,5]
输出:[5,4,3,2,1]
示例2:

输入:head = [1,2]
输出:[2,1]
示例3:
输入:head = []
输出:[]
提示:
- 链表中节点的数目范围是 [0, 5000]
- -5000 <= Node.val <= 5000
递归法
分析:
首先看到这题干,是不是很熟悉,不就是反转排序嘛,说搞就搞!!!可以想到的有递归法、迭代法进行反转操作,我们先来实现递归,然后再实现迭代。
关于递归这里提一两点:
递归基本有这几步递归的模板,1.终止条件,2.递归调用,3.逻辑处理。
这里引用下大佬的基本思路:
class Solution:
def reverseList(self, head: ListNode) -> ListNode:
# # 递归终止条件:链表为空,或者是链表没有尾结点的时候,直接返回
if head == None or head.next == None:
return head
next = self.reverseList(head.next) # 保存当前节点的下一个节点
head.next.next = head
# next.next = head
head.next = None
return next

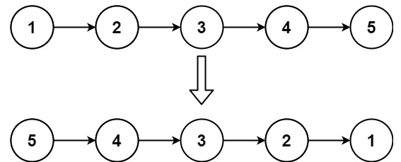
(迭代法)双链表法
双链表求解是把原链表的结点一个个摘掉,每次摘掉的链表都让他成为新的链表的头结点,然后更新新链表。
再次借用下大佬的图片


直接上代码了吧就!
class Solution:
def reverseList(self, head: ListNode) -> ListNode:
# 双链表法
new_link = None
while head: # 判断是否为空字符,如果非空则运行下面的
# 保存当前节点的下一个节点
next = head.next
# 将当前节点指向前一个节点
head.next = new_link
# 上一个节点指向当前节点,再次循环中会被当成上一个值
new_link = head
# 头节点指向下一个节点
head = next
return new_link

感觉还行吧!~
加油!!!
Reference
作者:力扣 (LeetCode)
链接:https://leetcode-cn.com/leetbook/read/top-interview-questions-easy/xnarn7/
来源:力扣(LeetCode)
作者:数据结构和算法
链接:https://leetcode-cn.com/leetbook/read/top-interview-questions-easy/xnnhm6/?discussion=0NDu5u
来源:力扣(LeetCode)
今日得分:+10+10
总得分:520加油!!!
❤坚持读Paper,坚持做笔记,坚持学习,坚持刷力扣LeetCode❤!!!
坚持刷题!!!打天梯!!!
⚡To Be No.1⚡⚡哈哈哈哈
⚡创作不易⚡,过路能❤关注、收藏、点个赞❤三连就最好不过了
ღ( ´・ᴗ・` )
❤
『
朝着下一道光芒横渡大海吧!
』
- 点赞
- 收藏
- 关注作者

评论(0)