<LeetCode天梯>Day025 删除链表的倒数第N个节点(双指针) | 初级算法 | Python
每日推荐一首歌:李荣浩-情人
以下为我的天梯积分规则:
每日至少一题:一题积分+10分
若多做了一题(或多一种方法解答),则当日积分+20分(+10+10)
若做了三道以上,则从第三题开始算+20分(如:做了三道题则积分-10+10+20=40;做了四道题则积分–10+10+20+20=60)
初始分为100分
若差一天没做题,则扣积分-10分(周六、周日除外注:休息)
坚持!!!
初级算法
刷题目录
链表

题干
给你一个链表,删除链表的倒数第 n 个结点,并且返回链表的头结点。
示例1:

输入:head = [1,2,3,4,5], n = 2
输出:[1,2,3,5]
示例2:
输入:head = [1], n = 1
输出:[]
示例3:
输入:head = [1,2], n = 1
输出:[1]
提示:

双指针法
分析:
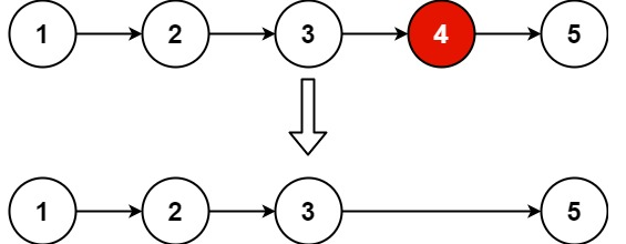
根据题干的要求,我们需要删除倒数第n个节点,在返回头结点。只需要找到倒数第n个节点,将其删除,再返回。
说真的不难,直接用双指针,来!
借用一下大佬的草图

# Definition for singly-linked list.
# class ListNode:
# def __init__(self, val=0, next=None):
# self.val = val
# self.next = next
class Solution:
def removeNthFromEnd(self, head: ListNode, n: int) -> ListNode:
# 定义哑终端,用于前项循环
dummy = ListNode(0)
dummy.next = head
# 设置两个指针
fast = head
slow = dummy
# 移动fast到n步
for i in range(n):
fast = fast.next
# 快慢节点同时走,循环到fast的末尾
while fast:
fast = fast.next
slow = slow.next
slow.next = slow.next.next
return dummy.next
卷啊卷,一直卷!~

最近在改论文,就先到这里吧!~
关于链表,自我感觉学的不是很好,后期空了出一些关于链表的小技能树吧,flag先立在这里!!!
建议坚持,慢慢来比较快!
Reference
作者:力扣 (LeetCode)
链接:https://leetcode-cn.com/leetbook/read/top-interview-questions-easy/xnarn7/
来源:力扣(LeetCode)
今日得分:+10
总得分:500加油!!!
❤坚持读Paper,坚持做笔记,坚持学习,坚持刷力扣LeetCode❤!!!
坚持刷题!!!打天梯!!!
⚡To Be No.1⚡⚡哈哈哈哈
⚡创作不易⚡,过路能❤关注、收藏、点个赞❤三连就最好不过了
ღ( ´・ᴗ・` )
❤
『
一个人自以为刻骨铭心的回忆,别人也许早已经忘记了。
』
- 点赞
- 收藏
- 关注作者
评论(0)