Visual Studio 2019下用 C# 实现 Hill2 二阶希尔密码 的加密、解密 GUI界面
1、什么是Hill2
什么是Hill密码
- 希尔密码(Hill)使用每个字母在字母表中的顺序作为其对应的数字,即 A=0,B=1,C=2 等,然后将明文转化为 n 维向量,跟一个 n × n 的矩阵相乘,再将得出的结果模 26。
- 注意用作加密的矩阵(即密匙)在 必须是可逆的,否则就不可能解码。只有矩阵的行列式和26互质,才是可逆的。
Hill2指的是n=2时,即加密矩阵为2 × 2,明文转为2维向量时候的加密。是Hill最简单的情况。
举个例子:
- 明文串 x = EastChinaNormalUniversity,密钥 = [[2, 5],[9,5]] 或 “cjff”。
加密过程:
-
加密:密文向量 = 明文向量 * 密钥矩阵 (mod 26)
-
先将明文串对应英文字母编码表进行数字转化:
4 0 18 19 2 7 8 13 0 13 14 17 12 0 11 20 13 8 21 4 17 18 8 19 24 -
然后两两一组写成矩阵形式:

发现少了一个,所以在最后做补0处理(即补字符a) -
加密的过程就是矩阵乘法,前行乘后列,记得膜26(不膜会乱码!!)

-
得到密文矩阵后,按照分组对应的向量转成字母
ikbxnbdhnnjdyesrobkbujhlw
解密过程:
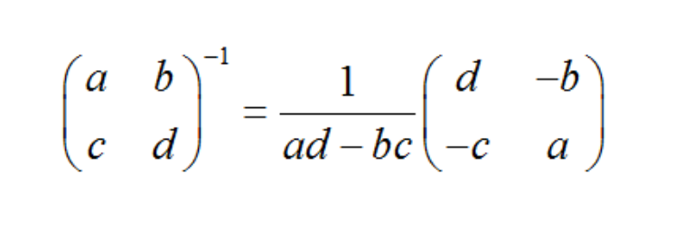
- 解密和加密差不多,就是先计算出原本密钥矩阵的逆矩阵,再直接乘密文就可以了。
- 二阶矩阵的逆矩阵公式为:

- 求逆矩阵的时候记得用逆元,求出逆矩阵后记得膜26。(逆元记得用拓展欧几里得!不要用快速幂)
比如 [[2, 5],[9,5]] 会得到 [ [ 11, 5 ], [ 1 , 20 ] ]。 - 最后用上面一样的方法去乘以密文即可。
2、C#代码实现

using System;
using System.Windows.Forms;
namespace 古典加密系列
{
public partial class Form5 : Form
{
public Form5()
{
InitializeComponent();
}
//数学函数,快速幂,逆元,公约数
//public static int pows(int a, int x, int p) { if (x == 0) return 1; int t = pows(a, x >> 1, p); if (x % 2 == 0) return t * t % p; return t * t % p * a % p; }
//public static int inv(int x, int p) { return pows(x, p - 2, p); }
public static void EXGCD(int a, int b, ref int d, ref int x, ref int y, int MOD) { if (b==0) { d = a; x = 1; y = 0; } else { EXGCD(b, a % b,ref d,ref y,ref x, MOD); y -= x * (a / b); } }
public static int inv(int a, int MOD) { int d=0, x=0, y=0; EXGCD(a, MOD, ref d, ref x, ref y, MOD); return d == 1 ? (x + MOD) % MOD : -1; }
public static int gcd(int a, int b) { return b == 0 ? a : gcd(b, a % b); }
//字符串函数,判断是否只由字母组成,字符串大写转小写
public static bool check(string str)
{
bool ok = true;
for (int i = 0; i < str.Length; i++)
{
if (str[i] >= 'a' && str[i] <= 'z') continue;
if (str[i] >= 'A' && str[i] <= 'Z') continue;
ok = false; break;
}
return ok;
}
public static string xiaoxie(string str)
{
string res = "";
for (int i = 0; i < str.Length; i++)
{
if (str[i] >= 'a' && str[i] <= 'z') res = res + str[i];
if (str[i] >= 'A' && str[i] <= 'Z') res = res + Convert.ToChar(str[i] + ('a' - 'A'));
}
return res;
}
//2阶Hill密码,加密和解密
public static string jiami(string plaintext, string key)
{
key = xiaoxie(key);
plaintext = xiaoxie(plaintext);
int[,] A = new int[2, 2]{
{key[0]-'a', key[2]-'a'},
{key[1]-'a', key[3]-'a'}
};
int t = A[1, 1] * A[0, 0] - A[1, 0] * A[0, 1];
t = (t % 26 + 26) % 26;
if (gcd(t, 26) != 1)
{
MessageBox.Show("矩阵的行列式和26需要互质,否则没有逆矩阵");
return "";
}
//两个字母组成向量进行加密,不够就补0
int flag = 0;
if (plaintext.Length % 2 == 1)
{
flag = 1;
plaintext = plaintext + 'a';
}
//两两一组写成矩阵形式
int[,] X = new int[2, plaintext.Length / 2];
int cnt = 0;
for (int i = 0; i < plaintext.Length; i++)
{
if (i % 2 == 0) X[0, cnt] = plaintext[i] - 'a';
else
{
X[1, cnt] = plaintext[i] - 'a';
cnt++;
}
}
//矩阵乘法
int[,] Y = new int[2, plaintext.Length / 2];
for (int i = 0; i < 2; i++)
{
for (int j = 0; j < plaintext.Length / 2; j++)
{
int tmp = 0;
for (int k = 0; k < 2; k++)
{
tmp += A[i, k] * X[k, j];
}
Y[i, j] = tmp%26;
}
}
string res = "";
for (int i = 0; i < plaintext.Length / 2; i++)
{
char ch = (char)(Y[0, i]+'a');
res = res + ch;
ch = (char)(Y[1, i]+'a');
res = res + ch;
}
if(flag == 1)
{
res = res.Substring(0, res.Length - 1);
}
return res;
}
public static string jiemi(string plaintext, string key)
{
key = xiaoxie(key);
plaintext = xiaoxie(plaintext);
//逆矩阵
int a = key[0] - 'a', b = key[2] - 'a', c = key[1] - 'a', d = key[3] - 'a';
int t = ((a * d - b * c) % 26+26)%26;
if (gcd(t, 26) != 1)
{
MessageBox.Show("矩阵的行列式和26需要互质,否则没有逆矩阵");
return "";
}
t = inv(t,26)%26;
int aa = d * t % 26, bb = (-b * t % 26 + 26) % 26, cc = (-c * t % 26 + 26) % 26, dd = a * t % 26;
int[,] A = new int[2, 2]{
{aa,bb },
{cc,dd }
};
//两个字母组成向量进行解密,不够就补0
int flag = 0;
if (plaintext.Length % 2 == 1)
{
flag = 1;
plaintext = plaintext + 'a';
}
//两两一组写成矩阵形式
int[,] X = new int[2, plaintext.Length / 2];
int cnt = 0;
for (int i = 0; i < plaintext.Length; i++)
{
if (i % 2 == 0) X[0, cnt] = plaintext[i] - 'a';
else
{
X[1, cnt] = plaintext[i] - 'a';
cnt++;
}
}
//矩阵乘法
int[,] Y = new int[2, plaintext.Length / 2];
for (int i = 0; i < 2; i++)
{
for (int j = 0; j < plaintext.Length / 2; j++)
{
int tmp = 0;
for (int k = 0; k < 2; k++)
{
tmp += A[i, k] * X[k, j];
}
Y[i, j] = tmp % 26;
}
}
string res = "";
for (int i = 0; i < plaintext.Length / 2; i++)
{
char ch = (char)(Y[0, i] + 'a');
res = res + ch;
ch = (char)(Y[1, i] + 'a');
res = res + ch;
}
if (flag == 1)
{
res = res.Substring(0, res.Length - 1);
}
return res;
}
//GUI按钮
private void button1_Click(object sender, EventArgs e)
{
string key = textBox3.Text;
if (key.Length != 4 || check(key) == false)
{
MessageBox.Show("密钥输入错误,请重新输入密钥");
return;
}
string plaintext = textBox1.Text;
if (check(plaintext) == false)
{
MessageBox.Show("明文输入错误,请重新输入明文");
return;
}
string ciphertext = jiami(plaintext, key);
textBox2.Text = ciphertext;
}
private void button2_Click(object sender, EventArgs e)
{
string key = textBox3.Text;
if (key.Length != 4 || check(key) == false)
{
MessageBox.Show("密钥输入错误,请重新输入密钥");
return;
}
string plaintext = textBox2.Text;
if (check(plaintext) == false)
{
MessageBox.Show("明文输入错误,请重新输入明文");
return;
}
string ciphertext = jiemi(plaintext, key);
textBox1.Text = ciphertext;
}
}
}
- 1
- 2
- 3
- 4
- 5
- 6
- 7
- 8
- 9
- 10
- 11
- 12
- 13
- 14
- 15
- 16
- 17
- 18
- 19
- 20
- 21
- 22
- 23
- 24
- 25
- 26
- 27
- 28
- 29
- 30
- 31
- 32
- 33
- 34
- 35
- 36
- 37
- 38
- 39
- 40
- 41
- 42
- 43
- 44
- 45
- 46
- 47
- 48
- 49
- 50
- 51
- 52
- 53
- 54
- 55
- 56
- 57
- 58
- 59
- 60
- 61
- 62
- 63
- 64
- 65
- 66
- 67
- 68
- 69
- 70
- 71
- 72
- 73
- 74
- 75
- 76
- 77
- 78
- 79
- 80
- 81
- 82
- 83
- 84
- 85
- 86
- 87
- 88
- 89
- 90
- 91
- 92
- 93
- 94
- 95
- 96
- 97
- 98
- 99
- 100
- 101
- 102
- 103
- 104
- 105
- 106
- 107
- 108
- 109
- 110
- 111
- 112
- 113
- 114
- 115
- 116
- 117
- 118
- 119
- 120
- 121
- 122
- 123
- 124
- 125
- 126
- 127
- 128
- 129
- 130
- 131
- 132
- 133
- 134
- 135
- 136
- 137
- 138
- 139
- 140
- 141
- 142
- 143
- 144
- 145
- 146
- 147
- 148
- 149
- 150
- 151
- 152
- 153
- 154
- 155
- 156
- 157
- 158
- 159
- 160
- 161
- 162
- 163
- 164
- 165
- 166
- 167
- 168
- 169
- 170
- 171
- 172
- 173
- 174
- 175
- 176
- 177
- 178
- 179
- 180
- 181
- 182
- 183
- 184
- 185
- 186
- 187
- 188
- 189
- 190
- 191
- 192
- 193
- 194
- 195
- 196
- 197
- 198
- 199
- 200
- 201
- 202
- 203
- 204
- 205
- 206
- 207
- 208
- 209
- 210
- 211
- 212
- 213
- 214
- 215
- 216
- 217
- 218
- 219
- 220
- 221
- 222
- 223
- 224
- 225
3、参考资料
https://ctf-wiki.org/crypto/classical/polyalphabetic/#hill
https://zhuanlan.zhihu.com/p/328562250
https://wenku.baidu.com/view/f1b150cd51e79b8969022619?pn=2&pu=sl@1,pw@500,sz@224_220,pd@1,fz@2,lp@3,tpl@color,
http://www.go60.top/wenzhang/juzhen/14.html
https://matrix.reshish.com/zh/inverse.php
https://wenku.baidu.com/view/b0525966f5335a8102d22078.html
文章来源: gwj1314.blog.csdn.net,作者:小哈里,版权归原作者所有,如需转载,请联系作者。
原文链接:gwj1314.blog.csdn.net/article/details/120953338
- 点赞
- 收藏
- 关注作者



评论(0)