学在信息——小有名气
定长编码的编码速率和编码效率
编码速率:R'=(l*logr)/N bit/信源符号
l*logr>N*H(S)
前者表示长为l的码符号序列所能承载的最大信息量
后者表示长为N的信源符号序列平均携带的信息量
R'>=H(S)+ε
编码速率要大于信源熵,才能实现几乎无失真编码
编码效率η=H(S)/R'=H(S)/((L/N)*logr)
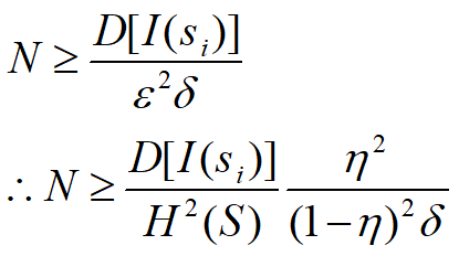
η(max)=H(S)/(H(S)+ε)
∴ε=((1-η)/η)*H(S)
显然,当要求译码错误概率
时,信源序列长度N必须满足:

但是实际情况下要实现无失真等长编码,N得非常非常大
由上述原因,引出了新的编码,变长码
变长码
变长码可以在N不是很大的情况下,编出效率很高且无失真的信源编码。
唯一可译码的要求:必须是非奇异码,且他的N次扩展也是非奇异码。
即时码的要求:无需考虑后续,直接可译
即时码的构成:树图法
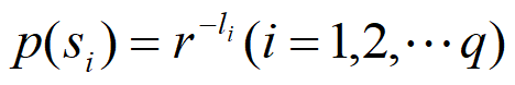
例如:设信源S有四种不同的码符号S:{s1,s2,s3,s4}信道输入符号集,即码符号集X:{0,1},要求与信源符号s1,s2,s3,s4对应的码字w1,w2,w3,w4的长度分别是n1=1,n2=2,n3=3,n4=4构造即时码。
说明:从根到每一个终端节点所走的路径是不同的,而且中间节点不安排为码字,即没有任何一个码字是另一个码字的延长(即前缀),所以一定满足对前缀的限制(非延长码)
Kraft不等式
成立充要条件:
注意:若码长不满足Kraft不等式,则一定不是唯一可译码,若满足Kraft不等式,却不一定是唯一可译码。

变长编码定理(香农第一定理)
码平均长度:
码率:R=H(S)/L (比特/码符号)
R体现了其传输信息的有效性的高低,R越大,有效性越高
编码后信道每秒钟传输的信息量:
显然,L越短,Rt越大,信息传输效率越高
紧致码:最短可译码,也是信源变长编码的目的
平均码长界定定理:
前者等式成立的条件,为:![]()
N次扩展后:



可推广到平稳遍历的有记忆信源(如马尔可夫信源)

为有记忆信源的极限熵
文章来源: blog.csdn.net,作者:渣渣ye,版权归原作者所有,如需转载,请联系作者。
原文链接:blog.csdn.net/yyfloveqcw/article/details/124290976
- 点赞
- 收藏
- 关注作者

评论(0)