【Dive into Deep Learning / 动手学深度学习】第二章 - 第六节:概率

前言
Hello!
非常感谢您阅读海轰的文章,倘若文中有错误的地方,欢迎您指出~
自我介绍 ଘ(੭ˊᵕˋ)੭
昵称:海轰
标签:程序猿|C++选手|学生
简介:因C语言结识编程,随后转入计算机专业,获得过国家奖学金,有幸在竞赛中拿过一些国奖、省奖…已保研。
学习经验:扎实基础 + 多做笔记 + 多敲代码 + 多思考 + 学好英语!
唯有努力💪
知其然 知其所以然!
本文仅记录自己感兴趣的内容
2.6. 概率
2.6.1. 模拟扔骰子
- 导包
%matplotlib inline
import torch
from torch.distributions import multinomial
from d2l import torch as d2l
- 1
- 2
- 3
- 4
- 生成一个多项式分布,再采样
fair_probs = torch.ones([6]) / 6
multinomial.Multinomial(1, fair_probs).sample()
# tensor([1., 0., 0., 0., 0., 0.])
- 1
- 2
- 3
- 4
解释:torch.distributions.multinomial.Multinomial()

fair_probs = torch.ones([6]) / 6 理解为生成一个向量,其中概率都为1/6,对应扔数字1-6概率都为1/6

multinomial.Multinomial(1, fair_probs)理解为依据fair_probs这个概率向量,实验一次(扔一次骰子)
multinomial.Multinomial(1, fair_probs).sample()就是再multinomial.Multinomial(1, fair_probs)的基础上进行采样(看看具体扔出的数字是哪一个)

# 将结果存储为32位浮点数以进行除法
counts = multinomial.Multinomial(1000, fair_probs).sample()
counts / 1000 # 相对频率作为估计值
# tensor([0.1550, 0.1810, 0.1760, 0.1830, 0.1480, 0.1570])
- 1
- 2
- 3
- 4
- 5
counts = multinomial.Multinomial(1000, fair_probs).sample()表示,依据概率fair_probs,扔1000次骰子,再统计每个数字扔出的次数

上图中数字1扔出了187次,数字2扔出了145次…
counts / 1000也就是求1000次实验中每个数字被扔出的概率
- 绘图
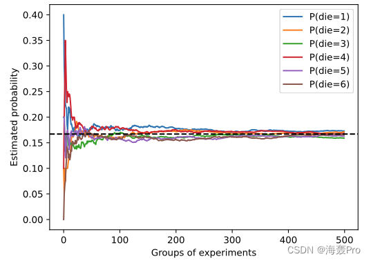
counts = multinomial.Multinomial(10, fair_probs).sample((500,))
cum_counts = counts.cumsum(dim=0)
estimates = cum_counts / cum_counts.sum(dim=1, keepdims=True)
d2l.set_figsize((6, 4.5))
for i in range(6):
d2l.plt.plot(estimates[:, i].numpy(),
label=("P(die=" + str(i + 1) + ")"))
d2l.plt.axhline(y=0.167, color='black', linestyle='dashed')
d2l.plt.gca().set_xlabel('Groups of experiments')
d2l.plt.gca().set_ylabel('Estimated probability')
d2l.plt.legend();
- 1
- 2
- 3
- 4
- 5
- 6
- 7
- 8
- 9
- 10
- 11
- 12

counts = multinomial.Multinomial(10, fair_probs).sample((500,))理解为以概率fair_probs进行10次实验,生成一个多项式分布,然后再此基础上,采样500次(相当于进行了500组实验,每组需要扔10次骰子)

cum_counts = counts.cumsum(dim=0):进行累加(按照行进行累加,第二行=第二行 + 第一行…)

cum_counts.sum(dim=1, keepdims=True),对每一行进行求和

如果没有参数keepdims=True,则为

简单的说,就是keepdims=True后,可以使得结果维度与原来数据保持一致(注意下图中的中括号!)

estimates = cum_counts / cum_counts.sum(dim=1, keepdims=True)

2.6.2. 处理多个随机变量
2.6.2.1. 联合概率

2.6.2.2. 条件概率

2.6.2.3. 贝叶斯定理

P ( A , B ) P(A, B) P(A,B)是指同时为 A 、 B A、B A、B的概率
由公式
- P ( A , B ) = P ( B ∣ A ) P ( A ) P(A,B) = P(B | A) P(A) P(A,B)=P(B∣A)P(A)
- P ( A , B ) = P ( A ∣ B ) P ( B ) P(A,B) = P(A | B) P(B) P(A,B)=P(A∣B)P(B)
推出
- P ( B ∣ A ) P ( A ) = P ( A ∣ B ) P ( B ) P(B | A) P(A) = P(A | B) P(B) P(B∣A)P(A)=P(A∣B)P(B)
将 P ( B ) P(B) P(B)移项得

2.6.2.4. 边际化

2.6.3. 期望和方差

结语
学习资料:http://zh.d2l.ai/
文章仅作为个人学习笔记记录,记录从0到1的一个过程
希望对您有一点点帮助,如有错误欢迎小伙伴指正

参考文献
- https://blog.csdn.net/weixin_42179158/article/details/123097338
- https://zhuanlan.zhihu.com/p/268162211
文章来源: haihong.blog.csdn.net,作者:海轰Pro,版权归原作者所有,如需转载,请联系作者。
原文链接:haihong.blog.csdn.net/article/details/124603799
- 点赞
- 收藏
- 关注作者
评论(0)