剑指offer系列——剑指 Offer 16. 数值的整数次方(C语言)
⭐️前面的话⭐️
大家好!博主开辟了一个新的专栏——剑指offer,我要开始刷题了!这个专栏会介绍《剑指offer》书上所有的面试编程题。并且会分享一些我的刷题心得。由于博主水平有限,如有错误,欢迎指正,如果有更好的解题思路和算法可以分享给博主哦!一起加油!一起努力!
📒博客主页:未见花闻的博客主页
🎉欢迎关注🔎点赞👍收藏⭐️留言📝
📌本文由未见花闻原创!
📆华为云首发时间:🌴2022年4月30日🌴
✉️坚持和努力一定能换来诗与远方!
💭参考书籍:📚《C语言程序设计》📚《剑指offer》
💬参考在线编程网站:🌐牛客网🌐力扣
博主的码云gitee,平常博主写的程序代码都在里面。
博主的github,平常博主写的程序代码都在里面。
🍭作者水平很有限,如果发现错误,一定要及时告知作者哦!感谢感谢!
⭐️剑指 Offer 16. 数值的整数次方⭐️
🔐题目详情
实现 pow(x, n) ,即计算 x 的 n 次幂函数(即,x^n^)。不得使用库函数,同时不需要考虑大数问题。
示例:
输入:x = 2.00000, n = 10
输出:1024.00000
输入:x = 2.10000, n = 3
输出:9.26100
输入:x = 2.00000, n = -2
输出:0.25000
解释:2-2 = 1/22 = 1/4 = 0.25
限制:
-100.0 < x < 100.0
-231 <= n <= 231-1
-104 <= x^n <= 104
来源:力扣(LeetCode)
链接:https://leetcode-cn.com/problems/shu-zhi-de-zheng-shu-ci-fang-lcof/
💡解题思路
这道题需要我们实现pow函数,看起来非常简单,其实有坑。
方法1: 直接一次一次地乘。也就是简简单单写一个循环n次的循环,然后每次乘一个x,如果是负数就转换为正数做。但是!!!没这么简单,你在力扣平台提交后超时了!这就说明需要一个更快的算法,使用此方法的时间复杂度为O(N)。所以我们要想出一个优于该方法的算法,也就出现了方法2【快速幂】,它能将时间复杂度降低至O(logN)。
时间复杂度: O(N)
方法2: 快速幂。实现快速幂可以从两个维度考虑,一是二进制角度,二是二分思想角度。
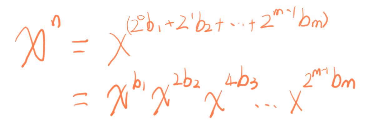
二进制角度解释: 假设需要求x的n次方,也就是x^n^,其中n为整数。对与任何十进制整数,它的二进制序列为b~m~b~m-1~…b~i~…b~2~b~1~,其中0 < i <= m。
将n转换为二进制序列,n = 2^0^*b~1~ + 2^1^*b~2~ + … + 2^i-1^*b~i~ + … + 2^m-1^*b~m~
则

根据以上推导,我们可以拆成两个部分:
- 求x^1^,x^2^,x^4^,…,这里我们没进行一次计算,就将x=x^2^即可。
- 求b~1~,b~2~,…,b~i~,这些二进制序列的值,这些好办,因为二进制中,不是0就是1, 可以参考求二进制中1的个数的思路,判断末位是否为1,可以通过
n&1和n>>1实现。


二分思想角度解释: 通过二分的思想,我们可以通过x = x^2^的操作将幂指数n降低至n/2,直到n=0为止。这样相比于一次一次乘效率提高了不少,因为使用单次累乘每进行一次幂指数n降低至n-1,而二分累乘幂指数n降低至n/2。
既然是对幂指数n除2操作,那不得不考虑这个n是奇数还是偶数,如果n为偶数,x^n^ = (x^2^)^n/2^;如果n为奇数x^n^ = (x^2^)^(n-1)/2^ * x。
举个栗子,比如2的10次方,
2^10^ = 4^5^ = 16^2^ * 4 = 256^1^ * 4 = (256*256)^0^ * 256 * 4 = 1024。
3的5次方,
3^5^ = 9^2^ * 3 = 81^1^ * 3 = (81*81)^0^ * 81 * 3 = 243。
最后就是注意当n为负数时,需要将n转换成正数,计算1/x的n次方,但是整型n的取值范围为-2^32^ ~ 2^32^ -1,如果n=-2^32^,去绝对值后n将会整型溢出,所以我们需要将n的值先存入一个长整型变量中,然后使用这个长整形变量进行后续计算就能解决此问题。
时间复杂度: O(logN)
🔑源代码
编程语言:C语言
在线编程平台:力扣
//方法1,超时了
double myPow(double x, int n){
int i = 0;
double y = x;
long m = n;
if (x == 1)
return 1.0;
if (n == 0)
return 1.0;
else if (n > 0)
{
for (i = 1; i < m; i++)
{
x *= y;
}
return x;
}
else
{
m = -m;
for (i = 1; i < m; i++)
{
x *= y;
}
return (1 / x);
}
}

//方法2
double myPow(double x, int n){
//这道题一个个地乘x会超时,因此使用快速幂的方法实现(二分思想)
int i = 0;
double ret = 1.0;
long m = n;//如果n为最小负数,对n取绝对值后会溢出,所以需要long型变量来储存
if (x == 1 || n == 0)
return 1.0;
if (x == 0)
return 0;
if (n < 0)
{
m = -m;
x = 1 / x;
}
while (m)
{
if (m & 1)
{
ret *= x;//如果n为奇数,对结果补乘一个x;如2的5次方可以转换成4的2次方再乘2
}
m >>= 1;
x *= x;
}
return ret;
}

🌱总结
对于pow函数的实现,如果对时间要求更严格,可以从二进制或二分思想入手,实现快速幂。
- 点赞
- 收藏
- 关注作者
评论(0)