☆打卡算法☆LeetCode 111、二叉树的最小深度 算法解析
【摘要】 推荐阅读CSDN主页GitHub开源地址Unity3D插件分享简书地址我的个人博客QQ群:1040082875大家好,我是小魔龙,Unity3D软件工程师,VR、AR,虚拟仿真方向,不定时更新软件开发技巧,生活感悟,觉得有用记得一键三连哦。 一、题目 1、算法题目“给定一个二叉树,找出其最小深度。”题目链接:来源:力扣(LeetCode)链接: 111. 二叉树的最小深度 2、题目描述给定...
推荐阅读
大家好,我是小魔龙,Unity3D软件工程师,VR、AR,虚拟仿真方向,不定时更新软件开发技巧,生活感悟,觉得有用记得一键三连哦。
一、题目
1、算法题目
“给定一个二叉树,找出其最小深度。”
题目链接:
来源:力扣(LeetCode)
链接: 111. 二叉树的最小深度
2、题目描述
给定一个二叉树,找出其最小深度。
最小深度是从根节点到最近叶子节点的最短路径上的节点数量。
说明: 叶子节点是指没有子节点的节点。

示例 1:
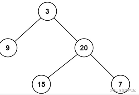
输入: root = [3,9,20,null,null,15,7]
输出: 2
示例 2:
输入: root = [2,null,3,null,4,null,5,null,6]
输出: 5
二、解题
1、思路分析
这道题首先想到的就是深度优先搜索的方法,遍历整棵树,找出最小深度。
对于每一个非根节点,只需要分别计算左右子树的最小子节点深度。
也就是把大问题转化为小问题,那么这个问题就可以递归解决。
2、代码实现
代码参考:
class Solution {
public int minDepth(TreeNode root) {
if (root == null) {
return 0;
}
if (root.left == null && root.right == null) {
return 1;
}
int min_depth = Integer.MAX_VALUE;
if (root.left != null) {
min_depth = Math.min(minDepth(root.left), min_depth);
}
if (root.right != null) {
min_depth = Math.min(minDepth(root.right), min_depth);
}
return min_depth + 1;
}
}

3、时间复杂度
时间复杂度 : O(N)
其中N是树的节点数,对每个节点只访问一次。
空间复杂度: O(H)
其中H是树的高度,空间复杂度主要取决于递归时的开销,递归的空间复杂度为O(N),平均情况下树的高度与节点数的对数正相关,空间复杂度为O(log N),总的时间复杂度就是O(H)。
三、总结
这道题用了广度优先搜索方法,同样,也可以使用广度优先搜索的方法去遍历整棵树。
对于这道题来书,广度优先搜索方法可以保证最先搜索到的叶子节点的深度一定最小。
【声明】本内容来自华为云开发者社区博主,不代表华为云及华为云开发者社区的观点和立场。转载时必须标注文章的来源(华为云社区)、文章链接、文章作者等基本信息,否则作者和本社区有权追究责任。如果您发现本社区中有涉嫌抄袭的内容,欢迎发送邮件进行举报,并提供相关证据,一经查实,本社区将立刻删除涉嫌侵权内容,举报邮箱:
cloudbbs@huaweicloud.com
- 点赞
- 收藏
- 关注作者
评论(0)