☆打卡算法☆LeetCode 110、平衡二叉树 算法解析
【摘要】 推荐阅读CSDN主页GitHub开源地址Unity3D插件分享简书地址我的个人博客QQ群:1040082875大家好,我是小魔龙,Unity3D软件工程师,VR、AR,虚拟仿真方向,不定时更新软件开发技巧,生活感悟,觉得有用记得一键三连哦。 一、题目 1、算法题目“给定一个二叉树,判断它是否是平衡二叉树。”题目链接:来源:力扣(LeetCode)链接: 110. 平衡二叉树 2、题目描述给定...
推荐阅读
大家好,我是小魔龙,Unity3D软件工程师,VR、AR,虚拟仿真方向,不定时更新软件开发技巧,生活感悟,觉得有用记得一键三连哦。
一、题目
1、算法题目
“给定一个二叉树,判断它是否是平衡二叉树。”
题目链接:
来源:力扣(LeetCode)
链接: 110. 平衡二叉树
2、题目描述
给定一个二叉树,判断它是否是高度平衡的二叉树。
本题中,一棵高度平衡二叉树定义为:
一个二叉树每个节点 的左右两个子树的高度差的绝对值不超过 1 。

示例 1:
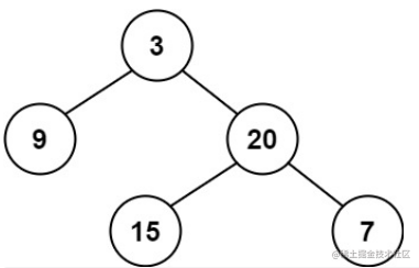
输入: root = [3,9,20,null,null,15,7]
输出: true
示例 2:
输入: root = [1,2,2,3,3,null,null,4,4]
输出: false
二、解题
1、思路分析
这出题的顺序就不能由易到难吗,前面几道题这么难,这道题这么简单。
这道题是判断给定的二叉树是不是平衡二叉树,如果一棵二叉树是平衡二叉树,那么其所有子树也是平衡二叉树。
那么就可以递归地判断二叉树是不是平衡二叉树。
2、代码实现
代码参考:
class Solution {
public boolean isBalanced(TreeNode root) {
if (root == null) {
return true;
} else {
return Math.abs(height(root.left) - height(root.right)) <= 1 && isBalanced(root.left) && isBalanced(root.right);
}
}
public int height(TreeNode root) {
if (root == null) {
return 0;
} else {
return Math.max(height(root.left), height(root.right)) + 1;
}
}
}

3、时间复杂度
时间复杂度 : O(n2)
其中n是二叉树中的节点个数。二叉树是满二叉树,需要遍历二叉树中所有节点,时间复杂度为O(n),对于最坏的情况,二叉树形成链式结构,高度为O(n),因此总时间复杂度为O(n2)。
空间复杂度: O(n)
其中n是二叉树的节点个数,空间发咋读取决于递归调用的层数,递归调用的层数不会超过n。
三、总结
计算节点高度,就可以判断二叉树是否平衡。
比如遍历到当前节点,计算左右子树的高度,如果左右子树的高度差不超过1,说明这个是根节点。
然后再分别遍历左右子树,判断左右子树是否平衡。
【声明】本内容来自华为云开发者社区博主,不代表华为云及华为云开发者社区的观点和立场。转载时必须标注文章的来源(华为云社区)、文章链接、文章作者等基本信息,否则作者和本社区有权追究责任。如果您发现本社区中有涉嫌抄袭的内容,欢迎发送邮件进行举报,并提供相关证据,一经查实,本社区将立刻删除涉嫌侵权内容,举报邮箱:
cloudbbs@huaweicloud.com
- 点赞
- 收藏
- 关注作者
评论(0)