fast rcnn 论文解读(附代码链接)
要解决的问题
-
1、RCNN和SPPnet分多步训练,先要fine tuning一个预训练的网络,然后针对每个类别都训练一个SVM分类器,最后还要用regressors对bounding-box进行回归,另外region proposal也要单独用selective search的方式获得,步骤比较繁琐。
-
2、时间和内存消耗比较大。在训练SVM和回归的时候需要用网络训练的特征作为输入,特征保存在磁盘上再读入的时间消耗还是比较大的。
-
3、测试的时候也比较慢,每张图片的每个region proposal都要做卷积,重复操作太多。
针对上述这些问题,本篇论文作者提出了fast rcnn网络,可以解决R-CNN和SPPnet的缺点,同时提高其速度和准确性。fast rcnn具有以下优点:
-
1、高精度检测,训练是单步训练,而loss是multi-task loss。
-
2、训练可以更新所有网络层,且内存不需要太大。
网络架构
fast rcnn的架构流程如下:网络有两个输入:图像和对应的已框出来的region proposal。其中region proposal由selective search方法得到,没有表示在流程图中。对每个类别都训练一个回归器,且只有非背景的region proposal才需要进行回归。架构是端到端多任务训练。 
下面是网络的一般通用架构 
架构实施具体细节
1、ROI polling layer:ROI Pooling的作用是对不同大小的region proposal,从最后卷积层输出的feature map提取大小固定的feature map。因为全连接层的输入需要尺寸大小一样,所以不能直接将不同大小的region proposal映射到feature map作为输出,需要做尺寸变换。即将一个hw的region proposal分割成HW大小的网格,然后将这个region proposal映射到最后一个卷积层输出的feature map,最后计算每个网格里的最大值作为该网格的输出,所以不管ROI pooling之前的feature map大小是多少,ROI pooling后得到的feature map大小都是H*W。
2、从预训练网络进行初始化:使用三个经过预训练的ImageNet网络进行实验,每个网络具有五个最大池化层以及五个到十三个conv层。当预训练的网络初始化Fast R-CNN网络时,它将经历三个转换。首先,最后一个最大池化层被RoI池化层代替,该RoI池化层通过将H和W设置为与网络的第一个完全连接层兼容(例如,对于VGG16,H = W = 7)进行配置。其次,将网络的最后一个完全连接层和softmax替换为先前描述的两个同级层(K + 1类的完全连接层和softmax以及特定于类别的bounding-box regressors)。第三,修改网络以获取两个数据输入:图像和这些图像的RoI。
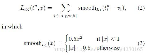
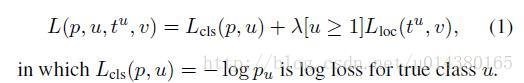
3、multi-task loss:损失函数的定义是将分类的loss和回归的loss整合在一起,其中分类采用log loss,即对真实分类(下图中的pu)的概率取负log,而回归的loss和R-CNN基本一样。分类层输出K+1维,表示K个类和1个背景类。 
这是回归的loss,其中t^u表示预测的结果,u表示类别。v表示真实的结果,即bounding box regression target。 
4、采用SVD分解改进全连接层:truncate svd可以简化全连接层的计算,加快检测时间,且无需在模型压缩后执行其他微调。 
训练
算法的主网络还是VGG16,输入是224* 224* 3,经过5个卷积层和2个降采样层(这两个降采样层分别跟在第一和第二个卷积层后面)后,进入ROI Pooling层,该层的输入是conv5层的输出和region proposal,region proposal的个数差不多2000。然后再经过两个都是output是4096的全连接层。最后分别经过output个数是21和84的两个全连接层(这两个全连接层是并列的,不是前后关系),前者是分类的输出,代表每个region proposal属于每个类别(21类)的得分,后者是回归的输出,代表每个region proposal的四个坐标。最后是两个损失层,分类的是softmaxWithLoss,输入是label和分类层输出的得分;回归的是SmoothL1Loss,输入是回归层的输出和target坐标及weight。
测试
与训练基本相同,最后两个loss层要改成一个softma层,输入是分类的score,输出概率。最后对每个类别采用NMS(non-maximun suppression)。
实验结果
fast rcnn在常用的数据集上表现出的性能都比SOTA要好。除了算法提升外,数据集越大算法的精度越高,所以数据是信息时代的“石油”。 
fast rcnn在速度上的提升 
更多细节
该论文还阐述了其他细节:
-
1、在迁移学习基础上更新哪些层的参数实验
-
2、SVM V.S. softmax,是否svm更有效
-
3、输入多种规格的图片,更多训练数据
-
4、multi-task training有助于提高精度吗
-
5、比较实现尺度不变的目标检测的两种策略:蛮力匹配(brute-force learning)和图像金字塔。
结论
Fast RCNN不仅大大提高了检测速度,也提高了检测准确率。其中,其是对整张图像卷积而不是对每个region proposal卷积。ROI Pooling,分类和回归都放在网络一起训练、multi-task loss是算法的三个核心。当然Fast RCNN的主要缺点在于region proposal的提取使用selective search,目标检测时间大多消耗在这上面(提region proposal 2~3s,而提特征分类只需0.32s),这也是后续Faster RCNN的改进方向之一。
代码链接
论文最后把代码开源,github链接:https://github.com/rbgirshick/py-faster-rcnn
文章来源: blog.csdn.net,作者:小小谢先生,版权归原作者所有,如需转载,请联系作者。
原文链接:blog.csdn.net/xiewenrui1996/article/details/105302563
- 点赞
- 收藏
- 关注作者
评论(0)