RBF神经网络介绍
1 RBF神经网络介绍
RBF(Radial Basis Function, RBF)网络和BP网络一样都是非线性多层前向网络,在任
何情况下可以互相代替。BP神经网络是一种全局逼近网络,学习速率相对慢些,不适合
实时性等要求较高的场合。而RBF网络被证明对非线性网络具有一致逼近性,可以逼近
任意的非线性函数,结构简单,并且具有很快的学习收敛速度。因此RBF网络有较为广
泛的应用
径向基网络是一种单隐层前馈神经网络,使用径向基函数作为隐层神经元的激活函数,
而输出层则是隐层输出的线性组合。径向基神经网络可分为正则化网络和广义网络,广
义RBF网络是由正则化网络稍加变化得到的,被应用的较多
2 径向基函数

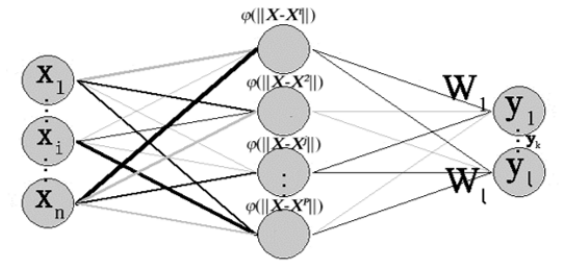
3 正则化网络
正则化网络中,所有的输入样本作为径向基函数的中心Xp,即这里隐层节点数等于输入
样本数P。各径向基函数选择统一的标准差σ,从隐层到输出层之间采用与权值向量
W加权和的形式进行线性组合

4 权值调整——目标输出

5 权值调整——算法

6 局限性和解决途径
正则化逼近性能依赖于足够多的训练样本,但是如果训练样本的样本量P过大,需要
计算P timesP 矩阵的逆,网络计算量将大的惊人(通用矩阵相乘算法的复杂度是
O(P 3),优化算法的复杂度是O(P 2.807) ),从而导致过低的效率甚至根本不可能实
现。
· 另一个局限性是当一个矩阵很大时,它是病态矩阵的可能性就很高,也就是说Φ中的
一个微小扰动将对结果W产生很大影响。
· 这些问题的解决方案是减少隐层神经元的个数,使其阶跃输入维度数和样本量之间。
此时求得的解是较低维度空间上的次优解。
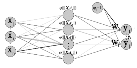
7 广义BPF网络
广义RBF网络是针对正则化网络的局限性稍加变化得到的,主要体现在径向基函数的
中心tj及基函数标准差的选取上,而且在隐层加入了阈值参数来与基函数共同求加权
和。广义RBF网络中隐节点的个数M远小于样本个数P,基函数的中心更多的由训练
算法确定。
· 根据径向基函数中心确定方法的不同,对应有不同的学习策略,常见的有:随机选取
固定中心;自组织选取中心;有监督选取中心。

8 例子说明
RBF主要是低位映射到高维,通过减去径向基中心生成高维数据
正则化RBF网络是选取所有X作为径向基中心,广义RBF是选择有限数据进行映射
$
2 4
1 1
3 1
2 2
分别以x1,x2,x3,x4为径向基中心点求距离,然后再映射后成为四维数据,变成线性可分
0
2
0 2
2 0
2
0
径向基函数生成新数据,x离中心约近y越大,越远y越小,新数据一定是线性可分的


- 点赞
- 收藏
- 关注作者
评论(0)