『图解Java并发』面试必问的CAS原理你会了吗?
在并发编程中我们都知道i++
操作是非线程安全的,这是因为 i++
操作不是原子操作。
如何保证原子性呢?常用的方法就是加锁
。在Java语言中可以使用 Synchronized
和CAS
实现加锁效果。
Synchronized
是悲观锁,线程开始执行第一步就是获取锁,一旦获得锁,其他的线程进入后就会阻塞等待锁。如果不好理解,举个生活中的例子:一个人进入厕所后首先把门锁上(获取锁),然后开始上厕所,这个时候有其他人来了只能在外面等(阻塞),就算再急也没用。上完厕所完事后把门打开(解锁),其他人就可以进入了。

CAS
是乐观锁,线程执行的时候不会加锁,假设没有冲突去完成某项操作,如果因为冲突失败了就重试,最后直到成功为止。
什么是 CAS?
CAS(Compare-And-Swap)是比较并交换
的意思,它是一条 CPU 并发原语,用于判断内存中某个值是否为预期值,如果是则更改为新的值,这个过程是原子
的。下面用一个小示例解释一下。
CAS机制当中使用了3个基本操作数:内存地址V,旧的预期值A,计算后要修改后的新值B。
(1)初始状态:在内存地址V中存储着变量值为 1。

(2)线程1想要把内存地址为 V 的变量值增加1。这个时候对线程1来说,旧的预期值A=1,要修改的新值B=2。

(3)在线程1要提交更新之前,线程2捷足先登了,已经把内存地址V中的变量值率先更新成了2。

(4)线程1开始提交更新,首先将预期值A和内存地址V的实际值比较(Compare),发现A不等于V的实际值,提交失败。

(5)线程1重新获取内存地址 V 的当前值,并重新计算想要修改的新值。此时对线程1来说,A=2,B=3。这个重新尝试的过程被称为自旋
。如果多次失败会有多次自旋。

(6)线程 1 再次提交更新,这一次没有其他线程改变地址 V 的值。线程1进行Compare,发现预期值 A 和内存地址 V的实际值是相等的,进行 Swap 操作,将内存地址 V 的实际值修改为 B。

总结:更新一个变量的时候,只有当变量的预期值 A 和内存地址 V 中的实际值相同时,才会将内存地址 V 对应的值修改为 B,这整个操作就是CAS
。
CAS 基本原理
CAS 主要包括两个操作:Compare
和Swap
,有人可能要问了:两个操作能保证是原子性吗?可以的。
CAS 是一种系统原语
,原语属于操作系统用语,原语由若干指令组成,用于完成某个功能的一个过程,并且原语的执行必须是连续的,在执行过程中不允许被中断,也就是说 CAS 是一条 CPU 的原子指令,由操作系统硬件来保证。
在 Intel 的 CPU 中,使用 cmpxchg 指令。
回到 Java 语言,JDK 是在 1.5 版本后才引入 CAS 操作,在sun.misc.Unsafe
这个类中定义了 CAS 相关的方法。
-
public final native boolean compareAndSwapObject(Object o, long offset, Object expected, Object x);
-
-
public final native boolean compareAndSwapInt(Object o, long offset, int expected, int x);
-
-
public final native boolean compareAndSwapLong(Object o, long offset, long expected, long x);
可以看到方法被声明为native
,如果对 C++ 比较熟悉可以自行下载 OpenJDK 的源码查看 unsafe.cpp,这里不再展开分析。
CAS 在 Java 语言中的应用
在 Java 编程中我们通常不会直接使用到 CAS,都是通过 JDK 封装好的并发工具类来间接使用的,这些并发工具类都在java.util.concurrent
包中。
J.U.C 是
java.util.concurrent
的简称,也就是大家常说的 Java 并发编程工具包,面试常考,非常非常重要。
目前 CAS 在 JDK 中主要应用在 J.U.C 包下的 Atomic 相关类中。

比如说 AtomicInteger 类就可以解决 i++ 非原子性问题,通过查看源码可以发现主要是靠 volatile 关键字和 CAS 操作来实现,具体原理和源码分析后面的文章会展开分析。
CAS 的问题
CAS 不是万能的,也有很多问题。
敲黑板:CAS有哪些问题,这是面试高频考点,需要重点掌握
。
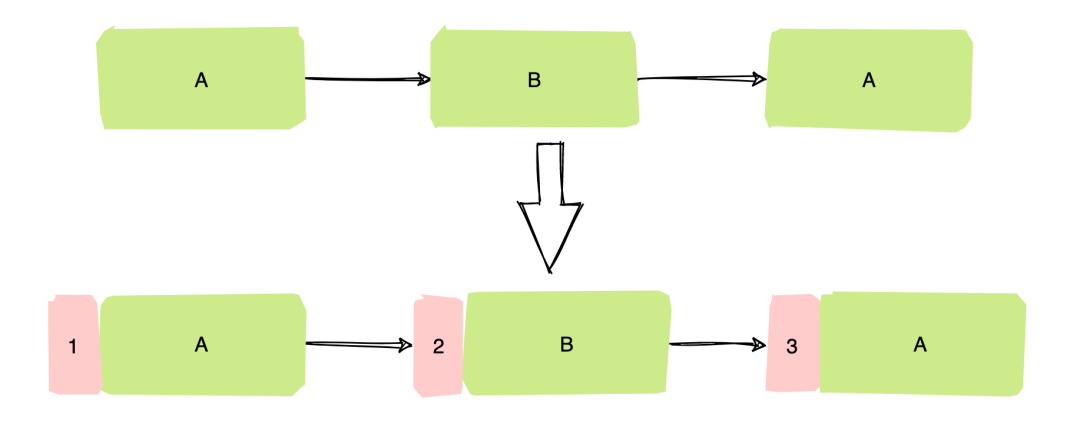
典型 ABA 问题
ABA 是 CAS 操作的一个经典问题,假设有一个变量初始值为 A,修改为 B,然后又修改为 A,这个变量实际被修改过了,但是 CAS 操作可能无法感知到。
如果是整形还好,不会影响最终结果,但如果是对象的引用类型包含了多个变量,引用没有变实际上包含的变量已经被修改,这就会造成大问题。
如何解决?思路其实很简单,在变量前加版本号,每次变量更新了就把版本号加一,结果如下:

最终结果都是 A 但是版本号改变了。
从 JDK 1.5 开始提供了AtomicStampedReference
类,这个类的 compareAndSe
方法首先检查当前引用
是否等于预期引用
,并且当前标志
是否等于预期标志
,如果全部相等,则以原子方式将该引用和该标志的值设置为给定的更新值。
自旋开销问题
CAS 出现冲突后就会开始自旋
操作,如果资源竞争非常激烈,自旋长时间不能成功就会给 CPU 带来非常大的开销。
解决方案:可以考虑限制自旋的次数,避免过度消耗 CPU;另外还可以考虑延迟执行。
只能保证单个变量的原子性
当对一个共享变量执行操作时,可以使用 CAS 来保证原子性,但是如果要对多个共享变量进行操作时,CAS 是无法保证原子性的,比如需要将 i 和 j 同时加 1:
i++;j++;
这个时候可以使用 synchronized 进行加锁,有没有其他办法呢?有,将多个变量操作合成一个变量操作。从 JDK1.5 开始提供了AtomicReference
类来保证引用对象之间的原子性,你可以把多个变量放在一个对象里来进行CAS操作。
有态度的总结
CAS 是 Compare And Swap,是一条 CPU 原语,由操作系统保证原子性。
Java语言从 JDK1.5 版本开始引入 CAS , 并且是 Java 并发编程J.U.C 包的基石,应用非常广泛。
当然 CAS 也不是万能的,也有很多问题:典型 ABA 问题、自旋开销问题、只能保证单个变量的原子性。
-- End --
文章来源: felord.blog.csdn.net,作者:码农小胖哥,版权归原作者所有,如需转载,请联系作者。
原文链接:felord.blog.csdn.net/article/details/116460861
- 点赞
- 收藏
- 关注作者
评论(0)