【数据结构与算法】之深入解析“冗余连接”的求解思路与算法示例
【摘要】
一、题目要求
树可以看成是一个连通且无环的无向图。
给定往一棵 n 个节点(节点值 1~n)的树中添加一条边后的图,添加的边的两个顶点包含在 1 到 n 中间,且这条附加的边不属于树中已存在的边。...
一、题目要求
- 树可以看成是一个连通且无环的无向图。
- 给定往一棵 n 个节点(节点值 1~n)的树中添加一条边后的图,添加的边的两个顶点包含在 1 到 n 中间,且这条附加的边不属于树中已存在的边。图的信息记录于长度为 n 的二维数组 edges ,edges[i] = [ai, bi] 表示图中在 ai 和 bi 之间存在一条边。
- 请找出一条可以删去的边,删除后可使得剩余部分是一个有着 n 个节点的树,如果有多个答案,则返回数组 edges 中最后出现的边。
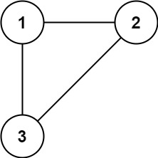
- 示例 1:

输入: edges = [[1,2], [
文章来源: blog.csdn.net,作者:╰つ栺尖篴夢ゞ,版权归原作者所有,如需转载,请联系作者。
原文链接:blog.csdn.net/Forever_wj/article/details/124048313
【版权声明】本文为华为云社区用户转载文章,如果您发现本社区中有涉嫌抄袭的内容,欢迎发送邮件进行举报,并提供相关证据,一经查实,本社区将立刻删除涉嫌侵权内容,举报邮箱:
cloudbbs@huaweicloud.com
- 点赞
- 收藏
- 关注作者
评论(0)