☆打卡算法☆LeetCode 92、反转链表 II 算法解析
【摘要】 推荐阅读CSDN主页GitHub开源地址Unity3D插件分享简书地址我的个人博客QQ群:1040082875大家好,我是小魔龙,Unity3D软件工程师,VR、AR,虚拟仿真方向,不定时更新软件开发技巧,生活感悟,觉得有用记得一键三连哦。 一、题目 1、算法题目“给定单链表的头指针和两个整数left和right,反转从left到right的链表节点,返回反转后的链表。”题目链接:来源:力扣...
推荐阅读
大家好,我是小魔龙,Unity3D软件工程师,VR、AR,虚拟仿真方向,不定时更新软件开发技巧,生活感悟,觉得有用记得一键三连哦。
一、题目
1、算法题目
“给定单链表的头指针和两个整数left和right,反转从left到right的链表节点,返回反转后的链表。”
题目链接:
来源:力扣(LeetCode)
链接:92. 反转链表 II - 力扣(LeetCode) (leetcode-cn.com)
2、题目描述
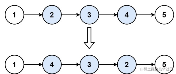
给你单链表的头指针 head 和两个整数 left 和 right ,其中 left <= right 。请你反转从位置 left 到位置 right 的链表节点,返回 反转后的链表 。

示例 1:
输入: head = [1,2,3,4,5], left = 2, right = 4
输出: [1,4,3,2,5]
示例 2:
输入: head = [5], left = 1, right = 1
输出: [5]
二、解题
1、思路分析
这道题主要考验对链表的操作能力,在操作链表的时候通常修改节点的值,只能修改节点的指向。
这道题主要就是找到left和right对应的节点位置,然后将这个位置进行反转。
2、代码实现
代码参考:
class Solution {
public ListNode reverseBetween(ListNode head, int left, int right) {
// 设置 dummyNode 是这一类问题的一般做法
ListNode dummyNode = new ListNode(-1);
dummyNode.next = head;
ListNode pre = dummyNode;
for (int i = 0; i < left - 1; i++) {
pre = pre.next;
}
ListNode cur = pre.next;
ListNode next;
for (int i = 0; i < right - left; i++) {
next = cur.next;
cur.next = next.next;
next.next = pre.next;
pre.next = next;
}
return dummyNode.next;
}
}

3、时间复杂度
时间复杂度 : O(N)
其中N是链表的总节点数。
空间复杂度: O(1)
只需要常量个变量。
三、总结
确定left和right的位置,使用指针指向两个位置。
将指针移动到第一个要反转的节点前面,将第二个指针移动到第一个要反转的节点的位置上。
删除第一个指针后面的元素,添加到第二个指针后面,重复步骤,即可得到正确答案。
【声明】本内容来自华为云开发者社区博主,不代表华为云及华为云开发者社区的观点和立场。转载时必须标注文章的来源(华为云社区)、文章链接、文章作者等基本信息,否则作者和本社区有权追究责任。如果您发现本社区中有涉嫌抄袭的内容,欢迎发送邮件进行举报,并提供相关证据,一经查实,本社区将立刻删除涉嫌侵权内容,举报邮箱:
cloudbbs@huaweicloud.com
- 点赞
- 收藏
- 关注作者
评论(0)