☆打卡算法☆LeetCode 86、分隔链表 算法解析
【摘要】 推荐阅读CSDN主页GitHub开源地址Unity3D插件分享简书地址我的个人博客QQ群:1040082875大家好,我是小魔龙,Unity3D软件工程师,VR、AR,虚拟仿真方向,不定时更新软件开发技巧,生活感悟,觉得有用记得一键三连哦。 一、题目 1、算法题目“给定一个链表和特定值,对链表进行分割,使所有小于特定值的节点都出现在特定值节点之前。”题目链接:来源:力扣(LeetCode)链...
推荐阅读
大家好,我是小魔龙,Unity3D软件工程师,VR、AR,虚拟仿真方向,不定时更新软件开发技巧,生活感悟,觉得有用记得一键三连哦。
一、题目
1、算法题目
“给定一个链表和特定值,对链表进行分割,使所有小于特定值的节点都出现在特定值节点之前。”
题目链接:
来源:力扣(LeetCode)
链接:86. 分隔链表 - 力扣(LeetCode) (leetcode-cn.com)
2、题目描述
给你一个链表的头节点 head 和一个特定值 x ,请你对链表进行分隔,使得所有 小于 x 的节点都出现在 大于或等于 x 的节点之前。
你应当 保留 两个分区中每个节点的初始相对位置。

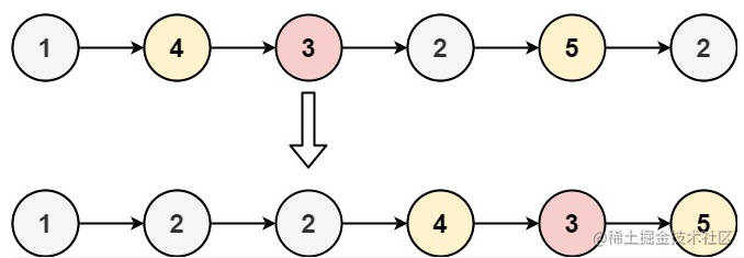
示例 1:
输入: head = [1,4,3,2,5,2], x = 3
输出:[1,2,2,4,3,5]
示例 2:
输入: head = [2,1], x = 2
输出:[1,2]
二、解题
1、思路分析
这道题只需要两个链表,一个链表存放特定值前的节点,一个链表存放特定值后的界面,在遍历完成后,将两个链表链接即可。
具体实现就是,用两个链表分别指向当前链表的尾结点,然后从前往后遍历,根据当前节点是否大于特定值来讲这个节点放入到不同的链表中。
2、代码实现
代码参考:
class Solution {
public ListNode partition(ListNode head, int x) {
ListNode small = new ListNode(0);
ListNode smallHead = small;
ListNode large = new ListNode(0);
ListNode largeHead = large;
while (head != null) {
if (head.val < x) {
small.next = head;
small = small.next;
} else {
large.next = head;
large = large.next;
}
head = head.next;
}
large.next = null;
small.next = largeHead.next;
return smallHead.next;
}
}

3、时间复杂度
时间复杂度 : O(n)
其中n是链表的长度。
空间复杂度: O(1)
三、总结
对链表进行一次遍历,然后根据当前节点是否大于特定值来讲这个节点放入到特定链表下,最后合并链表。
【声明】本内容来自华为云开发者社区博主,不代表华为云及华为云开发者社区的观点和立场。转载时必须标注文章的来源(华为云社区)、文章链接、文章作者等基本信息,否则作者和本社区有权追究责任。如果您发现本社区中有涉嫌抄袭的内容,欢迎发送邮件进行举报,并提供相关证据,一经查实,本社区将立刻删除涉嫌侵权内容,举报邮箱:
cloudbbs@huaweicloud.com
- 点赞
- 收藏
- 关注作者
评论(0)