【数据结构与算法】之深入解析“删除排序链表中的重复元素”的求解思路与算法示例
【摘要】
一、题目要求
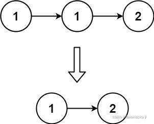
给定一个已排序的链表的头 head , 删除所有重复的元素,使每个元素只出现一次,返回已排序的链表 。示例 1:
输入:head = [1,1,2]
输出:[1,2]
12
示例 ...
一、题目要求
- 给定一个已排序的链表的头 head , 删除所有重复的元素,使每个元素只出现一次,返回已排序的链表 。
- 示例 1:

输入:head = [1,1,2]
输出:[1,2]
- 1
- 2
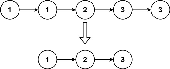
- 示例 2:

输入:head = [1,1,2,3,3]
输出:[1,2,3]
- 1
- 2
- 提示:
-
- 链表中节点数目在范围 [0, 300] 内;
-
- -100 <= Node.val <= 100;
-
- 题目数据保证链表已经按升序排列。
二、求解算法:一次遍历
- 由于给定的链表是排好序的,因此重复的元素在链表中出现的位置是连续的,因此只需要对链表进行一次遍历,就可以删除重复的元素。
- 具体地,从指针 cur 指向链表的头节点,随后开始对链表进行遍历。如果当前 cur 与 cur.next 对应的元素相同,那么就将 cur.next 从链表中移除;否则说明链表中已经不存在其它与 cur 对应的元素相同的节点,因此可以将 cur 指向 cur.next,当遍历完整个链表之后,返回链表的头节点即可。
- 当遍历到链表的最后一个节点时,cur.next 为空节点,如果不加以判断,访问 cur.next 对应的元素会产生运行错误。因此只需要遍历到链表的最后一个节点,而不需要遍历完整个链表。
- Java 示例:
class Solution {
public ListNode deleteDuplicates(ListNode head) {
if (head == null) {
return head;
}
ListNode cur = head;
while (cur.next != null) {
if (cur.val == cur.next.val) {
cur.next = cur.next.next;
} else {
cur = cur.next;
}
}
return head;
}
}
- 1
- 2
- 3
- 4
- 5
- 6
- 7
- 8
- 9
- 10
- 11
- 12
- 13
- 14
- 15
- 16
- 17
- 18
- C++ 示例:
class Solution {
public:
ListNode* deleteDuplicates(ListNode* head) {
if (!head) {
return head;
}
ListNode* cur = head;
while (cur->next) {
if (cur->val == cur->next->val) {
cur->next = cur->next->next;
}
else {
cur = cur->next;
}
}
return head;
}
};
- 1
- 2
- 3
- 4
- 5
- 6
- 7
- 8
- 9
- 10
- 11
- 12
- 13
- 14
- 15
- 16
- 17
- 18
- 19
- 20
文章来源: blog.csdn.net,作者:Serendipity·y,版权归原作者所有,如需转载,请联系作者。
原文链接:blog.csdn.net/Forever_wj/article/details/122880911
【版权声明】本文为华为云社区用户转载文章,如果您发现本社区中有涉嫌抄袭的内容,欢迎发送邮件进行举报,并提供相关证据,一经查实,本社区将立刻删除涉嫌侵权内容,举报邮箱:
cloudbbs@huaweicloud.com
- 点赞
- 收藏
- 关注作者
评论(0)