柯西积分不等式的证明题
【摘要】
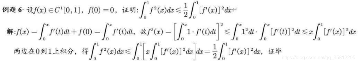
第一问
(证1/2的)不用分区间——对x在0在1积分即出现1/2.
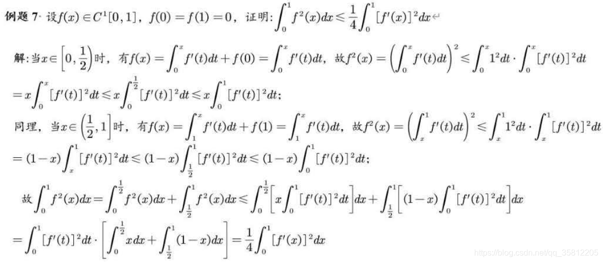
第二问
(证1/4)分区间,但是在放缩后的分区间上分别对x和1-x积分(2个1/8相加得到出现1/4).
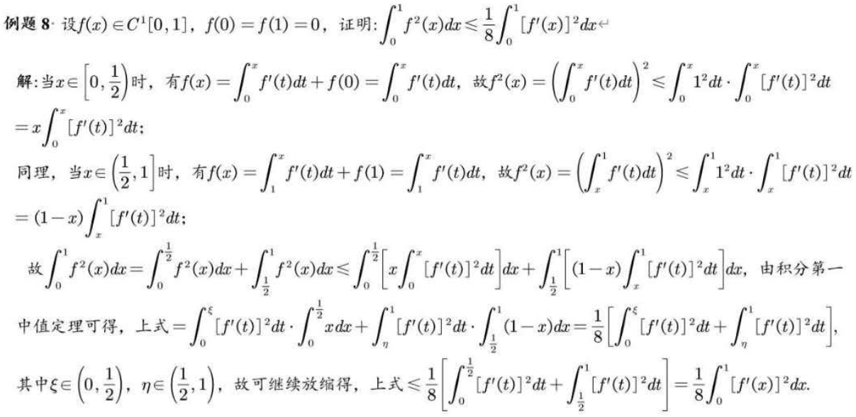
第三问
(证1/8)分区间,但是在放缩后的分区间上分别对x和1-x积分(2个1/8不相加,提出公因子得到出现1/8).
...
第一问
(证1/2的)不用分区间——对x在0在1积分即出现1/2.

第二问
(证1/4)分区间,但是在放缩后的分区间上分别对x和1-x积分(2个1/8相加得到出现1/4).

第三问
(证1/8)分区间,但是在放缩后的分区间上分别对x和1-x积分(2个1/8不相加,提出公因子得到出现1/8).
文章来源: andyguo.blog.csdn.net,作者:山顶夕景,版权归原作者所有,如需转载,请联系作者。
原文链接:andyguo.blog.csdn.net/article/details/108807549
【版权声明】本文为华为云社区用户转载文章,如果您发现本社区中有涉嫌抄袭的内容,欢迎发送邮件进行举报,并提供相关证据,一经查实,本社区将立刻删除涉嫌侵权内容,举报邮箱:
cloudbbs@huaweicloud.com
- 点赞
- 收藏
- 关注作者

评论(0)