线性代数知识整理
【摘要】
线性代数知识点整理
1.行列式的性质
2.抽象型行列式——解法
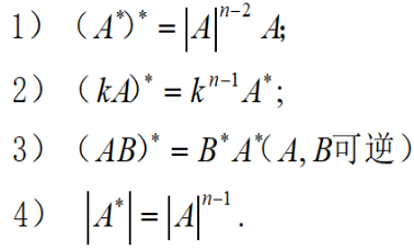
3.伴随矩阵的性质
4.逆矩阵的性质
5.逆矩阵——解法
方法一:用伴随
方法二:用初等变换
方法三:用定义
方法四:用单位矩阵恒等变形
方法五:用分块矩阵
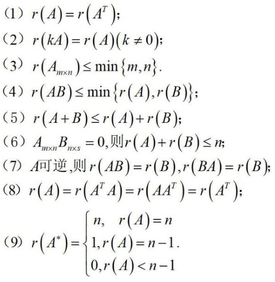
6.矩阵的秩定理
定理2
7.矩阵的秩性质
8.具体向量组如何判定相关无...
线性代数知识点整理
1.行列式的性质

2.抽象型行列式——解法
解题思路:对抽象型行列式,计算方法主要是利用行列式的性质,矩阵的性质,特征值及相似等。主要的公式有:

3.伴随矩阵的性质

4.逆矩阵的性质

5.逆矩阵——解法
方法一:用伴随

方法二:用初等变换
![]()
方法三:用定义
![]()
方法四:用单位矩阵恒等变形
![]()
方法五:用分块矩阵

6.矩阵的秩定理
定理2
初等变换不改变A的秩。
行列梯形矩阵的秩等于其非零行数。
注:若零行(若有的话)位于最低行,且每行左起第一个非零元素所在的列下方元素都是0,称这种矩阵为行列式为行阶梯矩阵;
任何矩阵都可通过初等行变换化为行阶梯矩阵。
7.矩阵的秩性质

一个结论&证明:

8.具体向量组如何判定相关无关

9.抽象向量组如何证明无关
以三个向量1,2,3为例:
方法一:用定义
![]()
方法二:用秩
![]()
方法三:用结论

10.特征值和特征向量的性质

11.相似矩阵的性质


12.矩阵相似对角化的条件

13.正定定理

14.等价、相似、合同

下图来自复旦邱锡鹏老师的《神经网络与深度学习》:

文章来源: andyguo.blog.csdn.net,作者:山顶夕景,版权归原作者所有,如需转载,请联系作者。
原文链接:andyguo.blog.csdn.net/article/details/104471850
【版权声明】本文为华为云社区用户转载文章,如果您发现本社区中有涉嫌抄袭的内容,欢迎发送邮件进行举报,并提供相关证据,一经查实,本社区将立刻删除涉嫌侵权内容,举报邮箱:
cloudbbs@huaweicloud.com
- 点赞
- 收藏
- 关注作者

评论(0)