【计算理论】图灵机 ( 图灵机设计 )
一、设计图灵机要求
设计一个图灵机 M 2 \rm M2 M2 , 认识一种特定语言 , 该语言由 0 0 0 组成 , 字符串的长度是 2 n \rm 2^n 2n 个 , n = 0 , 1 , 2 , ⋯ \rm n = 0, 1, 2, \cdots n=0,1,2,⋯ ;
二、图灵机分析
分析 : 设计一个图灵机 , 图灵机所接受的语言是 :
2 2 2 个 0 0 0 组成的字符串 ,
4 4 4 个 0 0 0 组成的字符串 ,
8 8 8 个 0 0 0 组成的字符串 ,
16 16 16 个 0 0 0 组成的字符串 ,
⋮ \ \ \ \ \ \ \ \ \ \ \ \ \ \ \ \ \vdots ⋮
2 n \rm 2^n 2n 个 0 0 0 组成的字符串 ;
图灵机设计很复杂 , 一般不需要设计出完整图灵机 , 只需要写出设计过程即可 ;
三、计算过程分析
将字符串写到带子上 , 带子上每隔一个 0 0 0 划掉一个 , 数一下剩下的 0 0 0 :
① 如果剩下的 0 0 0 是 1 1 1 个 , 直接接受该字符串 ;
② 如果剩下的 0 0 0 是 奇数个 , 直接拒绝接受该字符串 ;
③ 如果剩下的 0 0 0 是 偶数个 , 继续重新开始循环 ;
四、高级语言
将上述算法写成 高级语言 , 用于描述图灵机的计算过程 ;
高级语言是有要求的 , 其与图灵机的不同 ,
图灵机需要将所有的指令都写出来 , 状态图要绘制出来 , 这个要求很难实现 ;
高级语言不用将图灵机画出来 , 只需要 描述读写头如何操作 即可 , 将指令集部分直观描述出来 , 不写出具体的指令 ;
五、使用高级语言描述图灵机
下面就是高级语言的直观的计算过程 ;
图灵机直观计算过程 : 假设图灵机的带子上放了 0000 0000 0000 字符串 ;
阶段一 : 从左到右扫描图灵机带子 , 每隔 1 1 1 个 0 0 0 划掉一个 ;
阶段二 : 如果在 “阶段一” 只包含 1 1 1 个 0 0 0 , 那么 接受该字符串 ;
阶段三 : 如果在 “阶段一” 包含的 0 0 0 的个数大于 1 1 1 , 并且 0 0 0 的个数是奇数 , 那么 拒绝该字符串 ;
阶段四 : 如果在 “阶段一” 包含的 0 0 0 的个数大于 1 1 1 , 并且 0 0 0 的个数是偶数 , 那么 返回带子最左端 ;
阶段五 : 从 “阶段一” 重新开始计算 ;
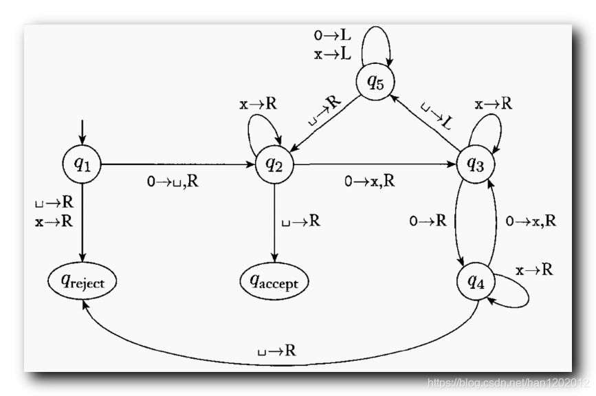
六、完整图灵机 ( 仅做参考 )
设计的真实的 M 2 \rm M2 M2 图灵机的指令如下 : 如下状态的图灵机设计很复杂 , 不做要求 ;

文章来源: hanshuliang.blog.csdn.net,作者:韩曙亮,版权归原作者所有,如需转载,请联系作者。
原文链接:hanshuliang.blog.csdn.net/article/details/110563801
- 点赞
- 收藏
- 关注作者
评论(0)