矩阵的几个基本概念(一)
矩阵英文:Matrix是线性代数中最基础的内容
矩阵
由mn个数按一定的次序排成的m行n列的矩形数表成为mn的矩阵,简称矩阵。
(元素为实数的称为实矩)
行矩阵
在线性代数中,行向量或行矩阵是1×m阶矩阵,即由单行m个元素组成的矩阵,记作A=(a1 a2…am),为避免元素间的混淆,也记作A=(a1,a2,…an)。
[ 1 2 3 ]
列矩阵
在线性代数中,列向量是一个 n×1 的矩阵,即矩阵由一个含有n个元素的列所组成:列向量的转置是一个行向量,反之亦然。所有的列向量的集合形成一个向量空间,它是所有行向量集合的对偶空间。
[ 1 2 3 ]
零矩阵
所有的元素都是0
[ 0 0 0 0 0 0 0 0 0 ]
对角阵
一定是方阵,对角线下标两个数相同
单位矩阵
主对角线上的元素都为1,其余元素全为0的n阶矩阵称为n阶单位矩阵
[ 1 0 ⋯ 0 0 1 ⋯ 0 ⋮ ⋮ ⋱ ⋮ 0 0 ⋯ 1 ] \left[
数量矩阵
主对角线都是k
[ k 2 ⋯ 4 7 k ⋯ 5 ⋮ ⋮ ⋱ ⋮ 8 9 ⋯ k ] \left[
梯形矩阵
若矩阵A满足两条件:(1)若有零行(元素全为0的行),则零行应在最下方;(2)非零首元(即非零行的第一个不为零的元素)的列标号随行标号的增加而严格递增,则称此矩阵A为阶梯形矩阵。
方阵
当m=n时,即矩阵的行数与列数相同时,称矩阵为方阵。
方阵有主对角线,不是方阵没有主对角线
例:
1 2 3 4 5 6 7 8 9
矩阵加法减法
被定义在两个相同大小的矩阵
简言之,两个矩阵相加减,即它们相同位置的元素相加减!
A+(B+C) = (A+B)+C
矩阵乘法
1.矩阵与数的乘法
结合律: (λμ)A=λ(μA) (λ+μ)A =λA+μA
分配律: λ (A+B)=λA+λB
- 1
- 2
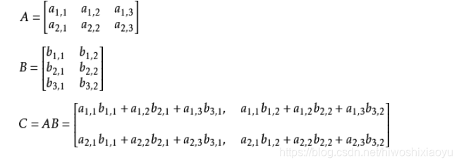
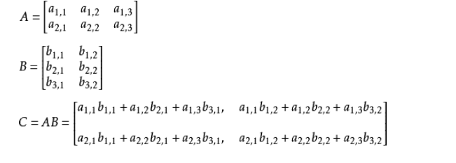
2.矩阵与矩阵的乘法
设A= ( a i j ) m × s (a_{ij})_{m\times s} (aij)m×s,B= ( a i j ) s × n (a_{ij})_{s\times n} (aij)s×n 则A与B的乘积是这样一个矩阵:
(1) 行数与(左矩阵)A相同,列数与(右矩阵)B相同,即.
(2) C的第行第列的元素由A的第行元素与B的第列元素对应相乘,再取乘积之和.
乘法结合律: (AB)C=A(BC). [3]
乘法左分配律:(A+B)C=AC+BC [3]
乘法右分配律:C(A+B)=CA+CB [3]
例:
文章来源: yujiang.blog.csdn.net,作者:鱼酱2333,版权归原作者所有,如需转载,请联系作者。
原文链接:yujiang.blog.csdn.net/article/details/102494024
- 点赞
- 收藏
- 关注作者
评论(0)