从课堂走向实践还有多远?
问题提出****卓老师:
大四实习的我现在在从事汽车电子,最近遇到一个看似很简单的问题,我问了很多同学都没给整明白。下面是我的问题,附件有国标的文档。
测量电动汽车动力电池与外壳之间的绝缘电阻方法1:第一步:测量电池组正负极两个端口与外壳之间的电压,正极记为U1,负极记为U‘1。第二步:将电池的正极与外壳之间连接一个电阻R0,推荐为1M欧姆。然后再测量电池组正负极两个端口与外壳之间的电压,正极为U2,负极为U’2。
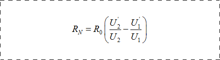
则电池组与外壳之间的绝缘电阻为:

绝缘检测国标给的这个公式是如何推导来的?请老师帮我看看,谢谢老师。基本原理****原理属于高中就讲到的电阻串并联,以及电阻网络分压原理。

对于大四的学生,在这里就不在啰嗦了。
问题解释****测试对象是车载电池,它的端口电压假设是U。它的正负极与外壳之间的绝缘电阻分别假设为Rp,Rn。
根据电阻分压网络公式,可以得到U1,U’1的电压。
同样,当外加电阻R0,接在电池组正极到外壳之后,原来的Rp就变成了R0与Rp的并联了,对应的阻值等于R0//Rp=(R0*Rp)/(R0+Rp).

再利用电压分压公式可以得到此时电池组正负极对外壳之间的电压。
有了上面的计算,于是可以得到对应两次测量过程中,电池组的正负极对外壳所测电压的比值:

整理上面公式,按照前面国标中的计算公式可以知道,最终测量的结果是电池组的负极对外壳之间的电阻Rn。当然,如果考虑到万用表的输入内阻r的影响,实际测量的结果应该是Rn与r的并联:Rn//r。

一般情况下,电池组的正负极对外壳的电阻大体上是在同一数量级内。所以上面计算得到Rn也反映出电池组对车体外壳之间的绝缘电阻。
如果希望计算出Rp,则可以将R0并联在电池组的负极对外壳之间,使用相同的方式,可以计算出Rp的数值。
实验验证****对于上述分析的验证,可以使用一般的电路仿真软件进行验证。也可以使用实际的电池在面包板上进行验证。相比于电路仿真软件,使用实物进行测试可以将万用表的内阻所带来的影响进行分析。
下面采用一个动力锂电池作为测试对象,它的端口电压为8.2219V。

在面包边上分别使用一个两个电阻代替电池组的正负极对地之间的绝缘电阻。它们分别是:
Rp=202.25千欧
Rn=152.63千欧
附加测量电阻R0=998.82千欧。
以上电阻都使用RIGOL DM3058数字万用表电阻档进行测量。
然后按照前面国标的两个步骤,测量电池组正负两端对于公共地之间的电压。

第一步: U1=4.6454V, U‘1=3.5056V;
第二步:U2=4.2761V, U’2=3.8805V。
将上述测量数值代入前面的公式,可以计算出R0= 152.67千欧。
由此可以看到,在测量的误差范围内,R0等于Rn.
按照相同的顺序,可以将R0并联在Rn上,则计算出的数值就会等于Rp。
扩展讨论****看似上面实验测量结果非常精确,但实际场景中,电池组对于外壳之间的Rp, Rn的阻值会随着时间、温度、湿度的变化发生很大的变化。而且Rp,Rn之间也会出现很大的差异。
在测量过程中,电池组对于汽车外壳之间还会存在着电容、电感等的耦合,所产生的噪声都会叠加在测量的电压中,特别是当电池组与外壳之间存在着其它附加直流电动势(比如寄生的引线之间的化学原电池效应),则会直接影响测量的结果。

进一步提高测量精度,则可以采用交流信号注入方法。
由于绝缘电阻,看不见,摸不着,它并不是一个实际的确定电阻,而是杂散在车载电池的包装,固定装置中。因此,将绝缘电阻抽象成电池正负极对汽车外壳之间串联电阻Rp,Rn,是进行测量和计算的关键。
前面同学对于这个国标中的测量方案的疑惑,并不在于他对于基本的原理的困惑,实际上在于研究对象的没有形成清晰的物理理解。而这一点除了需要积累经验之外,还需要一颗理论联系实际的心。
知识在什么时候有用?在实践中才有用。歌曲在什么时候最好听?在你能随声附和时最好听。
^卓大大节能组能用这个当车模吗? 回复:可以,是安全的。^
文章来源: zhuoqing.blog.csdn.net,作者:卓晴,版权归原作者所有,如需转载,请联系作者。
原文链接:zhuoqing.blog.csdn.net/article/details/104134921
- 点赞
- 收藏
- 关注作者
评论(0)