运算放大器在超高频信号作用下的偏移量的变化

举报
tsinghuazhuoqing 发表于 2021/12/27 01:28:51 2021/12/27
【摘要】 在下面推文中,对于集成运算放大器在强电磁干扰环境下出现的变化进行了实验展示研究。下面讨论一下,究竟其集成运算放大器收到外部输入信号的影响,与输入信号的频率有什么关系?为什么在平时放大普通中低频型号的时候,...

在下面推文中,对于集成运算放大器在强电磁干扰环境下出现的变化进行了实验展示研究。下面讨论一下,究竟其集成运算放大器收到外部输入信号的影响,与输入信号的频率有什么关系?为什么在平时放大普通中低频型号的时候,没有讨论运算放大器对于电磁干扰的频率有什么关系,下面就实验展开讨论。

运放在高频信号作用下,通常情况下应该有它的频率特性所决定。即随着输入信号的频率的变化,输出信号的幅值和相位所产生的变化。分别称为放大电路的幅频特性和相频特性。由如下表达式给出:

G ( j ω ) = ∣ G ( j ω ) ∣ ⋅ e j φ ( j ω ) G\left( {j\omega } \right) = \left| {G\left( {j\omega } \right)} \right| \cdot e^{j\varphi \left( {j\omega } \right)} G(jω)=G(jω)ejφ(jω)
其中 ∣ G ( j ω ) ∣ \left| {G\left( {j\omega } \right)} \right| G(jω)是幅频特性; φ ( j ω ) \varphi \left( {j\omega } \right) φ(jω)是相频特性。



LM386在高频信号作用下的变化

实验方案

使用DS345产生所0.1~30MHz的输入信号,测量LM386的输出信号的波形、交流有效值以及直流分量的大小。
直流分量使用FLUKE45万用表来测量。

产生0.1~30MHz的输入信号产生0.1~30MHz的输入信号

通过测量300个数据,分别获得测量数据:

  1. offset: LM386电路的输出直流分的
  2. freq: 信号的频率;
  3. vrms:LM386输出的交流有效值

具体的输入如下面所示:

'lm386freq'.nzp:
 'offset':  [2.4303 2.4225 2.4076 2.3862 2.3651 2.3521 2.3428 2.3355 2.3297 2.3259
 2.3237 2.3227 2.3231 2.3239 2.3253 2.3273 2.3295 2.3319 2.3347 2.3368
 2.3391 2.3412 2.3429 2.3445 2.346  2.3465 2.3466 2.3467 2.346  2.3451
 2.3436 2.3419 2.3392 2.3361 2.333  2.3299 2.3261 2.3224 2.3186 2.315
 2.3114 2.3075 2.3037 2.3003 2.297  2.2941 2.2914 2.2887 2.286  2.2842
 2.282  2.2801 2.279  2.2772 2.2762 2.2749 2.2745 2.2733 2.2728 2.2727
 2.272  2.2719 2.2721 2.2724 2.2724 2.273  2.2736 2.274  2.275  2.2758
 2.2758 2.2768 2.2774 2.2784 2.2797 2.2801 2.2812 2.2819 2.2831 2.2842
 2.2852 2.2865 2.2878 2.2892 2.2903 2.2915 2.2926 2.2936 2.2948 2.2959
 2.2971 2.2982 2.2994 2.3006 2.3018 2.3031 2.3042 2.3053 2.3067 2.308
 2.309  2.31   2.3111 2.3123 2.3135 2.3146 2.3156 2.3167 2.3178 2.3189
 2.32   2.3211 2.3219 2.3231 2.3241 2.3252 2.3262 2.3274 2.3283 2.3289
 2.3299 2.3309 2.3317 2.3327 2.3337 2.3346 2.3356 2.3366 2.3376 2.3386
 2.3395 2.3403 2.3412 2.3421 2.3429 2.3438 2.3446 2.3455 2.3464 2.3472
 2.348  2.3489 2.3495 2.3502 2.351  2.3517 2.3524 2.3531 2.3539 2.3547
 2.3553 2.356  2.3567 2.3574 2.358  2.3587 2.3593 2.3597 2.3604 2.361
 2.3617 2.3624 2.3631 2.3638 2.3643 2.365  2.3656 2.3663 2.367  2.3676
 2.3682 2.3688 2.3692 2.3697 2.3703 2.3706 2.3711 2.3715 2.3721 2.3727
 2.3732 2.3737 2.3742 2.3748 2.3754 2.3759 2.3765 2.3771 2.3774 2.378
 2.3785 2.3791 2.3796 2.38   2.3806 2.381  2.3816 2.382  2.3823 2.3829
 2.3831 2.3836 2.3842 2.3846 2.385  2.3855 2.3859 2.3864 2.3868 2.3872
 2.3876 2.3879 2.3883 2.3887 2.3891 2.3894 2.3896 2.3899 2.3904 2.3906
 2.3911 2.3913 2.3917 2.3922 2.3924 2.3927 2.3929 2.3932 2.3934 2.3938
 2.3942 2.3944 2.3946 2.3949 2.3951 2.3954 2.3956 2.396  2.3961 2.3965
 2.3965 2.397  2.3972 2.3973 2.3975 2.3977 2.398  2.3982 2.3986 2.3989
 2.3989 2.3991 2.3992 2.3995 2.3998 2.4    2.4002 2.4003 2.4005 2.4007
 2.401  2.4012 2.4015 2.4017 2.4018 2.4019 2.4022 2.4024 2.4026 2.4028
 2.4029 2.4031 2.4031 2.4034 2.4037 2.4036 2.4038 2.4039 2.404  2.4042
 2.4043 2.4046 2.4044 2.4046 2.4047 2.4048 2.4051 2.4052 2.4052 2.4053
 2.4054 2.4055 2.4056 2.4056 2.4057 2.4058 2.406  2.4061 2.4062 2.4064]
 
 'freq':  [  100000.   200000.   300000.   400000.   500000.   600000.   700000.
   800000.   900000.  1000000.  1100000.  1200000.  1300000.  1400000.
  1500000.  1600000.  1700000.  1800000.  1900000.  2000000.  2100000.
  2200000.  2300000.  2400000.  2500000.  2600000.  2700000.  2800000.
  2900000.  3000000.  3100000.  3200000.  3300000.  3400000.  3500000.
  3600000.  3700000.  3800000.  3900000.  4000000.  4100000.  4200000.
  4300000.  4400000.  4500000.  4600000.  4700000.  4800000.  4900000.
  5000000.  5100000.  5200000.  5300000.  5400000.  5500000.  5600000.
  5700000.  5800000.  5900000.  6000000.  6100000.  6200000.  6300000.
  6400000.  6500000.  6600000.  6700000.  6800000.  6900000.  7000000.
  7100000.  7200000.  7300000.  7400000.  7500000.  7600000.  7700000.
  7800000.  7900000.  8000000.  8100000.  8200000.  8300000.  8400000.
  8500000.  8600000.  8700000.  8800000.  8900000.  9000000.  9100000.
  9200000.  9300000.  9400000.  9500000.  9600000.  9700000.  9800000.
  9900000. 10000000. 10100000. 10200000. 10300000. 10400000. 10500000.
 10600000. 10700000. 10800000. 10900000. 11000000. 11100000. 11200000.
 11300000. 11400000. 11500000. 11600000. 11700000. 11800000. 11900000.
 12000000. 12100000. 12200000. 12300000. 12400000. 12500000. 12600000.
 12700000. 12800000. 12900000. 13000000. 13100000. 13200000. 13300000.
 13400000. 13500000. 13600000. 13700000. 13800000. 13900000. 14000000.
 14100000. 14200000. 14300000. 14400000. 14500000. 14600000. 14700000.
 14800000. 14900000. 15000000. 15100000. 15200000. 15300000. 15400000.
 15500000. 15600000. 15700000. 15800000. 15900000. 16000000. 16100000.
 16200000. 16300000. 16400000. 16500000. 16600000. 16700000. 16800000.
 16900000. 17000000. 17100000. 17200000. 17300000. 17400000. 17500000.
 17600000. 17700000. 17800000. 17900000. 18000000. 18100000. 18200000.
 18300000. 18400000. 18500000. 18600000. 18700000. 18800000. 18900000.
 19000000. 19100000. 19200000. 19300000. 19400000. 19500000. 19600000.
 19700000. 19800000. 19900000. 20000000. 20100000. 20200000. 20300000.
 20400000. 20500000. 20600000. 20700000. 20800000. 20900000. 21000000.
 21100000. 21200000. 21300000. 21400000. 21500000. 21600000. 21700000.
 21800000. 21900000. 22000000. 22100000. 22200000. 22300000. 22400000.
 22500000. 22600000. 22700000. 22800000. 22900000. 23000000. 23100000.
 23200000. 23300000. 23400000. 23500000. 23600000. 23700000. 23800000.
 23900000. 24000000. 24100000. 24200000. 24300000. 24400000. 24500000.
 24600000. 24700000. 24800000. 24900000. 25000000. 25100000. 25200000.
 25300000. 25400000. 25500000. 25600000. 25700000. 25800000. 25900000.
 26000000. 26100000. 26200000. 26300000. 26400000. 26500000. 26600000.
 26700000. 26800000. 26900000. 27000000. 27100000. 27200000. 27300000.
 27400000. 27500000. 27600000. 27700000. 27800000. 27900000. 28000000.
 28100000. 28200000. 28300000. 28400000. 28500000. 28600000. 28700000.
 28800000. 28900000. 29000000. 29100000. 29200000. 29300000. 29400000.
 29500000. 29600000. 29700000. 29800000. 29900000. 30000000.]
 
 'vrms':  ['6.413334e-01' '6.825742e-01' '6.430228e-01' '6.115741e-01'
 '5.237851e-01' '4.306417e-01' '3.639022e-01' '3.009561e-01'
 '2.553482e-01' '2.161986e-01' '1.855373e-01' '9.9e37' '1.391495e-01'
 '1.218520e-01' '1.072661e-01' '9.524767e-02' '8.445734e-02'
 '7.634338e-02' '6.804499e-02' '6.211770e-02' '5.639556e-02'
 '5.104101e-02' '4.643925e-02' '4.229035e-02' '4.033240e-02'
 '3.588475e-02' '3.417603e-02' '3.186109e-02' '2.938205e-02'
 '2.898289e-02' '2.602621e-02' '2.434417e-02' '2.256209e-02'
 '2.406842e-02' '2.168857e-02' '1.981758e-02' '1.902001e-02'
 '1.827843e-02' '1.883330e-02' '1.920945e-02' '1.781426e-02'
 '1.697402e-02' '1.740047e-02' '1.711480e-02' '1.817070e-02'
 '1.688382e-02' '1.722660e-02' '1.896028e-02' '1.566125e-02'
 '1.589628e-02' '1.782895e-02' '1.648637e-02' '1.586606e-02'
 '1.815148e-02' '1.591548e-02' '1.630543e-02' '1.584955e-02'
 '1.656557e-02' '1.636419e-02' '1.640945e-02' '1.530338e-02'
 '1.835703e-02' '1.570021e-02' '1.613599e-02' '1.768892e-02'
 '1.836890e-02' '1.568074e-02' '1.770125e-02' '1.435609e-02'
 '1.610622e-02' '1.843055e-02' '1.760238e-02' '1.514577e-02'
 '1.832848e-02' '1.510828e-02' '1.563616e-02' '1.623303e-02'
 '1.907270e-02' '1.735528e-02' '1.453428e-02' '1.600568e-02'
 '1.473698e-02' '1.634819e-02' '1.639349e-02' '1.738040e-02'
 '1.615760e-02' '1.704584e-02' '1.928652e-02' '1.933171e-02'
 '1.600841e-02' '1.725696e-02' '1.714791e-02' '1.705095e-02'
 '1.703559e-02' '1.559426e-02' '1.773080e-02' '1.420025e-02'
 '1.471328e-02' '1.426463e-02' '1.490184e-02' '1.906812e-02'
 '1.586331e-02' '1.726202e-02' '1.560824e-02' '1.755771e-02'
 '1.763705e-02' '1.563616e-02' '1.773818e-02' '1.885645e-02'
 '1.688382e-02' '1.513425e-02' '1.355902e-02' '1.562221e-02'
 '1.452527e-02' '1.470142e-02' '1.838552e-02' '1.733515e-02'
 '1.681910e-02' '1.578059e-02' '1.435305e-02' '1.421254e-02'
 '1.463598e-02' '1.664439e-02' '1.750795e-02' '1.768152e-02'
 '1.647579e-02' '1.802123e-02' '1.777012e-02' '1.562779e-02'
 '1.924349e-02' '1.558586e-02' '1.556906e-02' '1.787538e-02'
 '1.739796e-02' '1.845894e-02' '1.832848e-02' '1.998419e-02'
 '1.894877e-02' '1.620075e-02' '1.787538e-02' '1.480197e-02'
 '1.535745e-02' '1.833562e-02' '1.620075e-02' '1.496320e-02'
 '1.512271e-02' '1.571687e-02' '1.704071e-02' '1.746803e-02'
 '1.726454e-02' '1.634018e-02' '1.718603e-02' '1.673328e-02'
 '1.568353e-02' '1.705607e-02' '1.472217e-02' '1.615760e-02'
 '1.427074e-02' '1.595381e-02' '1.518892e-02' '1.574183e-02'
 '1.729988e-02' '1.423708e-02' '1.700996e-02' '1.528627e-02'
 '1.662866e-02' '1.623034e-02' '1.789246e-02' '1.584680e-02'
 '1.807923e-02' '1.463896e-02' '1.726960e-02' '1.668105e-02'
 '1.732257e-02' '1.726960e-02' '1.686055e-02' '1.556906e-02'
 '1.588804e-02' '1.729988e-02' '1.740799e-02' '1.392727e-02'
 '1.815389e-02' '1.652074e-02' '1.637485e-02' '1.721646e-02'
 '1.625988e-02' '1.783384e-02' '1.599750e-02' '1.734773e-02'
 '1.649167e-02' '1.500687e-02' '1.592644e-02' '1.537165e-02'
 '1.484024e-02' '1.766177e-02' '1.536597e-02' '1.516305e-02'
 '1.705863e-02' '1.541699e-02' '1.551291e-02' '1.594834e-02'
 '1.654185e-02' '1.809853e-02' '1.600023e-02' '1.674891e-02'
 '1.803816e-02' '1.661291e-02' '1.679054e-02' '1.618189e-02'
 '1.525198e-02' '1.697145e-02' '1.604380e-02' '1.563895e-02'
 '1.896948e-02' '1.475769e-02' '1.744554e-02' '1.544244e-02'
 '1.654185e-02' '1.548194e-02' '1.831896e-02' '1.586881e-02'
 '1.716825e-02' '1.650753e-02' '1.638285e-02' '1.663653e-02'
 '1.598932e-02' '1.640148e-02' '1.526628e-02' '1.508516e-02'
 '1.709439e-02' '1.531193e-02' '1.697916e-02' '2.061604e-02'
 '1.571409e-02' '1.753285e-02' '1.666011e-02' '1.679573e-02'
 '1.670196e-02' '1.534324e-02' '1.789246e-02' '1.589902e-02'
 '1.411706e-02' '1.590999e-02' '1.437431e-02' '1.690448e-02'
 '1.590725e-02' '1.749299e-02' '1.696116e-02' '1.610893e-02'
 '1.856499e-02' '1.580545e-02' '1.881012e-02' '1.388020e-02'
 '1.765436e-02' '1.473698e-02' '1.424014e-02' '1.561383e-02'
 '1.472514e-02' '1.817070e-02' '1.694572e-02' '1.643602e-02'
 '1.635086e-02' '1.599477e-02' '1.540567e-02' '1.604652e-02'
 '1.575845e-02' '1.554943e-02' '1.484905e-02' '1.603019e-02'
 '1.787782e-02' '1.617110e-02' '1.656821e-02' '1.565011e-02'
 '1.675673e-02' '1.706630e-02' '1.576676e-02' '1.604652e-02'
 '1.649696e-02' '1.559426e-02' '1.677494e-02' '1.705863e-02'
 '1.576399e-02' '1.402093e-02' '1.788514e-02' '1.444999e-02'
 '1.695344e-02' '1.631346e-02' '1.474290e-02' '1.624646e-02'
 '1.591274e-02' '1.575845e-02' '1.528341e-02' '1.881244e-02'
 '1.746553e-02' '1.680612e-02' '1.845184e-02' '1.784607e-02'
 '1.692511e-02' '1.857204e-02' '1.447412e-02']
 

  
 
  • 1
  • 2
  • 3
  • 4
  • 5
  • 6
  • 7
  • 8
  • 9
  • 10
  • 11
  • 12
  • 13
  • 14
  • 15
  • 16
  • 17
  • 18
  • 19
  • 20
  • 21
  • 22
  • 23
  • 24
  • 25
  • 26
  • 27
  • 28
  • 29
  • 30
  • 31
  • 32
  • 33
  • 34
  • 35
  • 36
  • 37
  • 38
  • 39
  • 40
  • 41
  • 42
  • 43
  • 44
  • 45
  • 46
  • 47
  • 48
  • 49
  • 50
  • 51
  • 52
  • 53
  • 54
  • 55
  • 56
  • 57
  • 58
  • 59
  • 60
  • 61
  • 62
  • 63
  • 64
  • 65
  • 66
  • 67
  • 68
  • 69
  • 70
  • 71
  • 72
  • 73
  • 74
  • 75
  • 76
  • 77
  • 78
  • 79
  • 80
  • 81
  • 82
  • 83
  • 84
  • 85
  • 86
  • 87
  • 88
  • 89
  • 90
  • 91
  • 92
  • 93
  • 94
  • 95
  • 96
  • 97
  • 98
  • 99
  • 100
  • 101
  • 102
  • 103
  • 104
  • 105
  • 106
  • 107
  • 108
  • 109
  • 110
  • 111
  • 112
  • 113
  • 114
  • 115
  • 116
  • 117
  • 118
  • 119
  • 120
  • 121
  • 122
  • 123
  • 124
  • 125
  • 126
  • 127
  • 128
  • 129
  • 130
  • 131
  • 132
  • 133
  • 134
  • 135
  • 136
  • 137
  • 138
  • 139
  • 140
  • 141
  • 142
  • 143
  • 144
  • 145
  • 146
  • 147
  • 148
  • 149
  • 150
  • 151
  • 152

结果分析

(1)随着输入频率的变化,LM386的输出直流分量的变化如下。
这个变化首先随着频率不是线性单调的变化。在6MHz附近,直流分量达到最小。这个的幅值变化都在0.25V之间。
LM385输出质量分量随着频率变化而变化的曲线LM385输出质量分量随着频率变化而变化的曲线

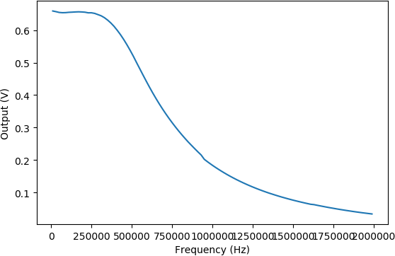
下图显示了LM386的幅频特性。对照上面的直流分量的变化,可以看到直流分量的变化发生在LM386 的通带范围之外。
LM386输出信号的幅值随着频率的变化LM386输出信号的幅值随着频率的变化

LM386的幅频特性LM386的幅频特性

LM386在2MHz以内的幅频特性和输出直流偏移量的变化LM386在2MHz以内的幅频特性和输出直流偏移量的变化

从上面的结果看到,运放在高频作用下,对应的结果变化实际上并不是太明显?
那么为什么如何解释当频率达到了400Mhz以上的对讲机的频率时,输出的DC变化就非常大了呢?
这的确是一个非常有趣的问题。

文章来源: zhuoqing.blog.csdn.net,作者:卓晴,版权归原作者所有,如需转载,请联系作者。

原文链接:zhuoqing.blog.csdn.net/article/details/104161860

【版权声明】本文为华为云社区用户转载文章,如果您发现本社区中有涉嫌抄袭的内容,欢迎发送邮件进行举报,并提供相关证据,一经查实,本社区将立刻删除涉嫌侵权内容,举报邮箱: cloudbbs@huaweicloud.com
  • 点赞
  • 收藏
  • 关注作者

评论(0

0/1000
抱歉,系统识别当前为高风险访问,暂不支持该操作

全部回复

上滑加载中

设置昵称

在此一键设置昵称,即可参与社区互动!

*长度不超过10个汉字或20个英文字符,设置后3个月内不可修改。

*长度不超过10个汉字或20个英文字符,设置后3个月内不可修改。