调频立体声

在信号与系统课程的信号频谱分析应用中,自动化系的同学对于信号的调制与解调的理解与无线电系的同学在专业上是有差距的。对于为何进行调制、如何完成调制以及在通信中调制的各种类型的理解,没有专业经验的自动化系同学往往对此感受不深。
选择一个经典的信号调制应用的示例作为理论作业的补充,或许可以缓解这方面的欠缺。
在传统的调频立体声广播中,将两个声道合成符合立体声信号括有丰富的信号处理 :信号的叠加、调制、倍频、重采样等。

FM立体声左右声道合成系统框图
选择两段音乐作为左右声道信号,按照上面方式进行合成。由于合成后的音频信号的频谱达到了53kHz范围,所以对于音频信号文件的采样率需要提高的100kHz以上。
究竟普通WAV文件可以设置的最高采样率有多高?
通过测试可以得到对于WAV文件的采样率最高可以设置成390kHz,所得到WAV文件可以正常播放。
歌曲1歌曲2从上面两首歌曲中分别提取它们的左声道,然后通过上采样将它们的采样率从原来的44.1kHz增加到320kHz。这位后面进行数字调制打下基础。

原始两个音乐波形,或者左右声道波形
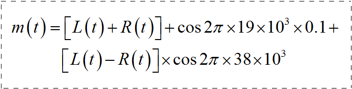
根据立体声调制框图可以得到复合信号的表达式。实现这个表达式可以分成四个步骤:

FM立体声声道合成公式
步骤1:通过相加、相减分别获得和、差信号:

两个声道相加和相减后的波形
步骤2:将差信号乘以38kHz的载波序列,得到调制后的差信号。
相减后的波形经过38kHz载波抑制调幅波形
步骤3:将19kHz导频信号叠加在载波抑制调制信号上:

加入19kHz导频后的波形
步骤4:将所有信号叠加在一起:

叠加后复合立体声信号波形
上图符合立体声信号显示,左右两个声道的波形实际上分别出现在调整波形的上下包络线上。
由于导频信号的存在,它的频率是调制频率的一半,使得调整信号每隔一个就会出现上下波动。因此,调制信号的上下包络线与左右声道信号有细微的差别。

参差不平的导频信号
上述信号中,两个声道的差值信号频谱经过调制,搬移到38kHz附近,是听不到的。如果直接播放该立体声文件,则只能听到两个声道相加后的声音。
在本实验音频文件中,左右两个声道的声音分别来自于两个音乐的数据。所以听到的则是两个音乐的叠加声音。
立体声编码音乐
用MATLAB对于上述数据文件进行谱分析,可以非常清晰的看到三个频谱区域:相加信号的基频信号;38kHz的相减信号的调制信号;19kHz的导频信号。
使用MATLAB分析上述复合信号的频谱
剩下的就一个问题了:
如何恢复左右两个声道声音?请感兴趣的同学们根据第四章介绍的信号调制解调方案,恢复出左右两个声道的音乐,并转换成44.1kHz采样率的音频文件。
Hope you enjoy these ****two pieces of music.
上述立体声符合音乐数据下载地址:
https://pan.baidu.com/s/15Ll22M36JPe_rNZyP4R6vA提取码: xfhe
文章来源: zhuoqing.blog.csdn.net,作者:卓晴,版权归原作者所有,如需转载,请联系作者。
原文链接:zhuoqing.blog.csdn.net/article/details/104134562
- 点赞
- 收藏
- 关注作者
评论(0)