2020人工神经网络第一次作业-参考答案第六部分
【摘要】
本文是 2020人工神经网络第一次作业 的参考答案第六部分
➤06 第六题参考答案
1.题目分析
按照题意,构造如下的神经网络。
隐层的传递函数使用sigmoid函数,输出层的...
本文是 2020人工神经网络第一次作业 的参考答案第六部分
➤06 第六题参考答案
1.题目分析
按照题意,构造如下的神经网络。
隐层的传递函数使用sigmoid函数,输出层的传递函数采用线性传递函数。

▲ 网络结构
2.网络训练
训练网络,使用学习速率 η = 0.5 \eta = 0.5 η=0.5。
▲ 训练过程中样本4对应的输出值变化

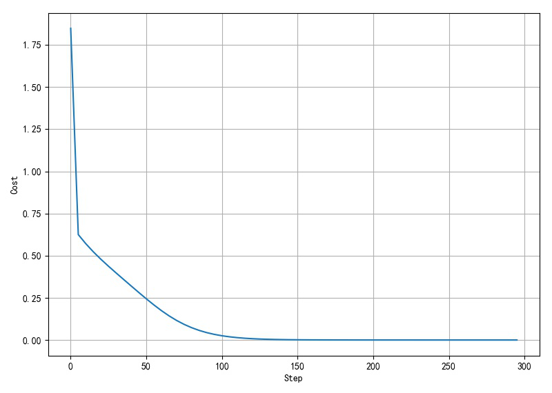
▲ 网络训练误差变化曲线
-
训练最后误差:0.25
-
每个样本对应网络输出:
| 样本 | y1 | y2 | y3 | y4 |
|---|---|---|---|---|
| (0,0,0,1) | 0.00711268 | -0.00986973 | 0.00305476 | 0.9998889 |
| (0,0,1,0) | -0.135094 | 0.18961148 | 0.9424817 | 0.0030109 |
| (0,1,0,0) | 0.44530554 | 0.37495184 | 0.18958372 | -0.00994176 |
| (1,0,0,0) | 0.68266432 | 0.44529483 | -0.13513126 | 0.0070307 |
- 样本对应的隐层输出:
| 样本 | h1 | h2 |
|---|---|---|
| (0,0,0,1) | 0.35826803 | 0.7780322 |
| (0,0,1,0) | 0.83654076 | 0.43139191 |
| (0,1,0,0) | 0.38627118 | 0.26445842 |
| (1,0,0,0) | 0.19393638 | 0.20481963 |
训练结果显示,对于样本1,2可以基本准确恢复;样本3,4恢复误差较大。
3.隐层节点采用三个
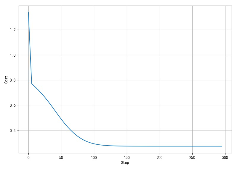
隐层节点数量提高到3个,训练网络,最终网络训练误差可以迅速降低到0。

▲ 网络结构
对于不同样板网络输出:
| 样本 | y1 | y2 | y3 | y3 |
|---|---|---|---|---|
| [0 0 0 1] | -0.000 | -0.000 | -0.000 | 1.000 |
| [0 0 1 0] | -0.000 | -0.000 | 1.000 | -0.000 |
| [0 1 0 0] | -0.000 | 0.999 | -0.000 | -0.000 |
| [1 0 0 0] | 1.001 | 0.001 | 0.001 | 0.001 |

▲ 训练误差演变过程

▲ 样本四输出值演变过程
4.训练样本增加噪声
对原来四个样本增加正态分布随机噪声(零均值0,方差:0.1)。将训练样本从原来的的四个,扩增到504。
神经网络隐层节点设置为2,重新训练网络。

▲ 网络误差收敛过程
四个样本对应的网络输出为:
| 样本 | y1 | y2 | y3 | y3 |
|---|---|---|---|---|
| [0. 0. 0. 1.] | 0.327 | -0.241 | 0.218 | 0.712 |
| [0. 0. 1. 0.] | -0.240 | 0.169 | 0.849 | 0.212 |
| [0. 1. 0. 0.] | 0.259 | 0.808 | 0.171 | -0.252 |
| [1. 0. 0. 0.] | 0.656 | 0.267 | -0.239 | 0.327 |
如果使用0.5作为阈值产地网络的输出重新二值化,可以看到四个样本可以本准确回复。
※ 结论
- 对于隐层节点为2的压缩网络,训练输出存在较大的误差;
- 将隐层节点增加到3,网络输出误差接近于0;
- 对于训练样本通过随机扩增,可以改善网络的输出。重新对输出值进行二值化,可以将恢复误差降低到0.
➤※ 作业1-6程序
1.作业1-6的主程序
#!/usr/local/bin/python
# -*- coding: gbk -*-
#============================================================
# HW16BP.PY -- by Dr. ZhuoQing 2020-11-19
#
# Note:
#============================================================
from headm import *
#from bp1tanh import *
from bp1sigmoid import *
#------------------------------------------------------------
x_train0 = array([[0,0,0,1],[0,0,1,0],[0,1,0,0],[1,0,0,0]])
#y_train = x_train.T
x_train = [[0,0,0,1],[0,0,1,0],[0,1,0,0],[1,0,0,0]]
EXTEND_NUM = 500
SIGMA = 0.1
for i in range(EXTEND_NUM):
x_train.append(x_train[0] + random.normal(0, SIGMA, 4))
x_train.append(x_train[1] + random.normal(0, SIGMA, 4))
x_train.append(x_train[2] + random.normal(0, SIGMA, 4))
x_train.append(x_train[3] + random.normal(0, SIGMA, 4))
x_train = array(x_train)
y_train = x_train.T
#------------------------------------------------------------
# Define the training
DISP_STEP = 5
#------------------------------------------------------------
pltgif = PlotGIF()
y1dim = []
y2dim = []
y3dim = []
y4dim = []
#------------------------------------------------------------
def train(X, Y, num_iterations, learning_rate, print_cost=False):
n_x = 4
n_y = 4
n_h = 2
lr = learning_rate
parameters = initialize_parameters(n_x, n_h, n_y)
XX,YY = x_train, y_train #shuffledata(x_train, y_train)
costdim = []
for i in range(0, num_iterations):
A2, cache = forward_propagate(XX, parameters)
cost = calculate_cost(A2, YY, parameters)
grads = backward_propagate(parameters, cache, XX, YY)
parameters = update_parameters(parameters, grads, lr)
if print_cost and i % DISP_STEP == 0:
printf('Cost after iteration:%i: %f'%(i, cost))
costdim.append(cost)
# printf(A2.T, cache['A1'].T)
# XX,YY = shuffledata(X, Y)
y1dim.append(A2[0][0])
y2dim.append(A2[1][0])
y3dim.append(A2[2][0])
y4dim.append(A2[3][0])
plt.clf()
plt.plot(y1dim, label='y1')
plt.plot(y2dim, label='y2')
plt.plot(y3dim, label='y3')
plt.plot(y4dim, label='y4')
plt.draw()
plt.pause(.01)
pltgif.append(plt)
return parameters, costdim
#------------------------------------------------------------
parameter,costdim = train(x_train, y_train, 300, 0.5, True)
A2, cache = forward_propagate(x_train0, parameter)
printf("样本|y1|y2|y3|y3")
printf("--|--|--|--|--")
for id,v in enumerate(A2.T[0:4]):
printf("%s|%4.3f|%4.3f|%4.3f|%4.3f"%(str(x_train[id]), v[0], v[1], v[2], v[3]))
pltgif.save(r'd:\temp\1.gif')
printf('cost:%f'%costdim[-1])
#------------------------------------------------------------
plt.clf()
plt.plot(arange(len(costdim))*DISP_STEP, costdim)
plt.xlabel("Step")
plt.ylabel("Cost")
plt.grid(True)
plt.tight_layout()
plt.show()
#------------------------------------------------------------
# END OF FILE : HW16BP.PY
#============================================================
- 1
- 2
- 3
- 4
- 5
- 6
- 7
- 8
- 9
- 10
- 11
- 12
- 13
- 14
- 15
- 16
- 17
- 18
- 19
- 20
- 21
- 22
- 23
- 24
- 25
- 26
- 27
- 28
- 29
- 30
- 31
- 32
- 33
- 34
- 35
- 36
- 37
- 38
- 39
- 40
- 41
- 42
- 43
- 44
- 45
- 46
- 47
- 48
- 49
- 50
- 51
- 52
- 53
- 54
- 55
- 56
- 57
- 58
- 59
- 60
- 61
- 62
- 63
- 64
- 65
- 66
- 67
- 68
- 69
- 70
- 71
- 72
- 73
- 74
- 75
- 76
- 77
- 78
- 79
- 80
- 81
- 82
- 83
- 84
- 85
- 86
- 87
- 88
- 89
- 90
- 91
- 92
- 93
- 94
- 95
- 96
- 97
- 98
- 99
- 100
- 101
- 102
- 103
- 104
- 105
- 106
- 107
- 108
- 109
- 110
- 111
2.BP网络的子程序
#!/usr/local/bin/python
# -*- coding: gbk -*-
#============================================================
# BP1SIGMOID.PY -- by Dr. ZhuoQing 2020-11-17
#
# Note:
#============================================================
from headm import *
#------------------------------------------------------------
# Samples data construction
random.seed(int(time.time()))
#------------------------------------------------------------
def shuffledata(X, Y):
id = list(range(X.shape[0]))
random.shuffle(id)
return X[id], (Y.T[id]).T
#------------------------------------------------------------
# Define and initialization NN
def initialize_parameters(n_x, n_h, n_y):
W1 = random.randn(n_h, n_x) * 0.5 # dot(W1,X.T)
W2 = random.randn(n_y, n_h) * 0.5 # dot(W2,Z1)
b1 = zeros((n_h, 1)) # Column vector
b2 = zeros((n_y, 1)) # Column vector
parameters = {'W1':W1,
'b1':b1,
'W2':W2,
'b2':b2}
return parameters
#------------------------------------------------------------
# Forward propagattion
# X:row->sample;
# Z2:col->sample
def forward_propagate(X, parameters):
W1 = parameters['W1']
b1 = parameters['b1']
W2 = parameters['W2']
b2 = parameters['b2']
Z1 = dot(W1, X.T) + b1 # X:row-->sample; Z1:col-->sample
A1 = 1/(1+exp(-Z1))
Z2 = dot(W2, A1) + b2 # Z2:col-->sample
A2 = Z2 # Linear output
cache = {'Z1':Z1,
'A1':A1,
'Z2':Z2,
'A2':A2}
return Z2, cache
#------------------------------------------------------------
# Calculate the cost
# A2,Y: col->sample
def calculate_cost(A2, Y, parameters):
err = [x1-x2 for x1,x2 in zip(A2.T, Y.T)]
cost = [dot(e,e) for e in err]
return mean(cost)
#------------------------------------------------------------
# Backward propagattion
def backward_propagate(parameters, cache, X, Y):
m = X.shape[0] # Number of the samples
W1 = parameters['W1']
W2 = parameters['W2']
A1 = cache['A1']
A2 = cache['A2']
dZ2 = (A2 - Y)
dW2 = dot(dZ2, A1.T) / m
db2 = sum(dZ2, axis=1, keepdims=True) / m
dZ1 = dot(W2.T, dZ2) * (A1 * (1-A1))
dW1 = dot(dZ1, X) / m
db1 = sum(dZ1, axis=1, keepdims=True) / m
grads = {'dW1':dW1,
'db1':db1,
'dW2':dW2,
'db2':db2}
return grads
#------------------------------------------------------------
# Update the parameters
def update_parameters(parameters, grads, learning_rate):
W1 = parameters['W1']
b1 = parameters['b1']
W2 = parameters['W2']
b2 = parameters['b2']
dW1 = grads['dW1']
db1 = grads['db1']
dW2 = grads['dW2']
db2 = grads['db2']
W1 = W1 - learning_rate * dW1
W2 = W2 - learning_rate * dW2
b1 = b1 - learning_rate * db1
b2 = b2 - learning_rate * db2
parameters = {'W1':W1,
'b1':b1,
'W2':W2,
'b2':b2}
return parameters
#------------------------------------------------------------
# END OF FILE : BP1SIGMOID.PY
#============================================================
- 1
- 2
- 3
- 4
- 5
- 6
- 7
- 8
- 9
- 10
- 11
- 12
- 13
- 14
- 15
- 16
- 17
- 18
- 19
- 20
- 21
- 22
- 23
- 24
- 25
- 26
- 27
- 28
- 29
- 30
- 31
- 32
- 33
- 34
- 35
- 36
- 37
- 38
- 39
- 40
- 41
- 42
- 43
- 44
- 45
- 46
- 47
- 48
- 49
- 50
- 51
- 52
- 53
- 54
- 55
- 56
- 57
- 58
- 59
- 60
- 61
- 62
- 63
- 64
- 65
- 66
- 67
- 68
- 69
- 70
- 71
- 72
- 73
- 74
- 75
- 76
- 77
- 78
- 79
- 80
- 81
- 82
- 83
- 84
- 85
- 86
- 87
- 88
- 89
- 90
- 91
- 92
- 93
- 94
- 95
- 96
- 97
- 98
- 99
- 100
- 101
- 102
- 103
- 104
- 105
- 106
- 107
- 108
- 109
- 110
- 111
- 112
- 113
- 114
- 115
- 116
- 117
- 118
- 119
文章来源: zhuoqing.blog.csdn.net,作者:卓晴,版权归原作者所有,如需转载,请联系作者。
原文链接:zhuoqing.blog.csdn.net/article/details/109828542
【版权声明】本文为华为云社区用户转载文章,如果您发现本社区中有涉嫌抄袭的内容,欢迎发送邮件进行举报,并提供相关证据,一经查实,本社区将立刻删除涉嫌侵权内容,举报邮箱:
cloudbbs@huaweicloud.com
- 点赞
- 收藏
- 关注作者
评论(0)