带有互感线圈的基本串并联问题

 这个文章最终完成请参见: 无线节能线圈参数初步测试
▌01 线圈互感
对于没有互感的线圈,它们串联、并联之后的电感计算公式与电阻的串、并联的计算公式相类似。

▲ 电感串联 
L e q = L 1 + L 2 + L 3 + ⋯ + L n L_{eq} = L_1 + L_2 + L_3 + \cdots + L_n Leq=L1+L2+L3+⋯+Ln

▲ 电感并联 
 1 L e q = 1 L 1 + 1 L 2 + 1 L 3 + ⋯ + 1 L n {1 \over {L_{eq} }} = {1 \over {L_1 }} + {1 \over {L_2 }} + {1 \over {L_3 }} + \cdots + {1 \over {L_n }} Leq1=L11+L21+L31+⋯+Ln1
 对于之间有互感的电感的串联、并联,在网络文章 Mutually coupled inductors. Coupling coefficient. Power and energyof mutually coupled inductors. Analysis of circuits with mutuallycoupled inductor. 中,给出了线圈互感的一些基本结论。
为了便于对于 第16届全国大学生智能车竞赛中的 节能信标组 设计与调试,将相关结论整理在这儿。
对于有互感的M两个线圈L1,L2,可以列些出它们之间的等效电路:

▲ 两个有互感的线圈等效电路 
 
1.线圈的串联
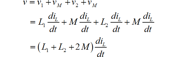
两个线圈 L 1 , L 2 L_1 ,L_2 L1,L2之间存在着互感 M M M,当它们同相串联的时候,对应的电感量为:
L E = L 1 + L 2 + 2 M L_E = L_1 + L_2 + 2M LE=L1+L2+2M

▲ 两个电感同相串联 
可以可跟KVL定理,列些出串联支路电压方程,可以证明该公式:

如果是反相串联的时候,按照相同的方式,可以证明对应的等效电感量为: L E = L 1 + L 2 − 2 M L_E = L_1 + L_2 - 2M LE=L1+L2−2M

▲ 两个电感线圈异向串联 
根据这个公式,可以来测量两个线圈之间的互感量M。也就是通过分别测量L1,L2,然后在分别测量他们同相和反相串联后的电感,便可以计算出它们之间的互感M。
2.线圈并联
当两个有互感M的线圈L1,L2并联时,对应的等效电感分别为:
(1) 同相并联
L E = L 1 ⋅ L 2 − M 2 L 1 + L 2 − 2 M L_E = {{L_1 \cdot L_2 - M^2 } \over {L_1 + L_2 - 2M}} LE=L1+L2−2ML1⋅L2−M2

▲ 带有互感的线圈并联 
左:同相并联;右:反向并联 
(2) 反相并联
L E = L 1 ⋅ L 2 − M 2 L 1 + L 2 + 2 M L_E = {{L_1 \cdot L_2 - M^2 } \over {L_1 + L_2 + 2M}} LE=L1+L2+2ML1⋅L2−M2
证明过程参见前面 论文中的求解过程。
3.消除互感变换
可以将两个互感的线圈使用T型电路来进行等效。下面给出了同相和反向互感电路的等效变换。

▲ 同相互感等效变换 

▲ 反相互感等效转换 
这个文章对应的公众号的推文: 有互感的电感的串并联
文章来源: zhuoqing.blog.csdn.net,作者:卓晴,版权归原作者所有,如需转载,请联系作者。
原文链接:zhuoqing.blog.csdn.net/article/details/113462720
- 点赞
- 收藏
- 关注作者
 
             
           
评论(0)