2021年春季学期-信号与系统-第九次作业参考答案-第二小题
【摘要】
本博文是 2021年春季学期-信号与系统-第九次作业参考答案
▌第二小题 ▌
2. 求下列序列的z变换
...

本博文是 2021年春季学期-信号与系统-第九次作业参考答案
▌第二小题 ▌
2. 求下列序列的z变换 X ( z ) X\left( z \right) X(z),并标明收敛域, 绘出 X ( z ) X\left( z \right) X(z)的零极点图。

作业要求:只做奇数小题
▓ 求解:
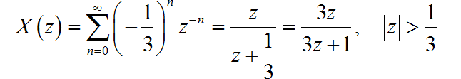
(1)


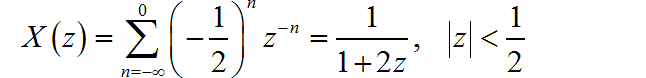
(2)


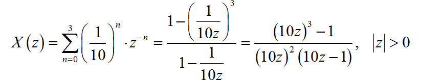
(3)


(4)


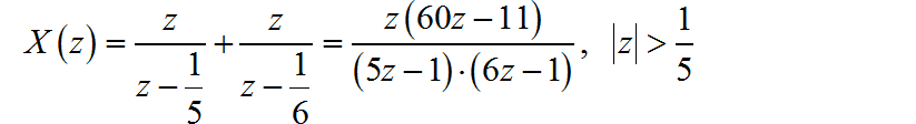
(5)


(6)


(7)


(8)


(9)


▌其它小题参考答案 ▌
▓ 第九次作业各个小题参考答案
- 2021年春季学期-信号与系统-第九次作业参考答案-第一小题
- 2021年春季学期-信号与系统-第九次作业参考答案-第二小题
- 2021年春季学期-信号与系统-第九次作业参考答案-第三小题
- 2021年春季学期-信号与系统-第九次作业参考答案-第四小题
- 2021年春季学期-信号与系统-第九次作业参考答案-第五小题
- 2021年春季学期-信号与系统-第九次作业参考答案-第六小题
文章来源: zhuoqing.blog.csdn.net,作者:卓晴,版权归原作者所有,如需转载,请联系作者。
原文链接:zhuoqing.blog.csdn.net/article/details/116246081
【版权声明】本文为华为云社区用户转载文章,如果您发现本社区中有涉嫌抄袭的内容,欢迎发送邮件进行举报,并提供相关证据,一经查实,本社区将立刻删除涉嫌侵权内容,举报邮箱:
cloudbbs@huaweicloud.com
- 点赞
- 收藏
- 关注作者
评论(0)