2021年春季学期-信号与系统-第十次作业参考答案

▓ 第十次作业各个小题参考答案:
- 2021年春季学期-信号与系统-第十次作业参考答案-第一小题
- 2021年春季学期-信号与系统-第十次作业参考答案-第二小题
- 2021年春季学期-信号与系统-第十次作业参考答案-第三小题
- 2021年春季学期-信号与系统-第十次作业参考答案-第四小题
- 2021年春季学期-信号与系统-第十次作业参考答案-第五小题
- 2021年春季学期-信号与系统-第十次作业参考答案-第六小题
▌第一小题 ▌
1. 求下列函数的拉普拉斯逆变换:

提示:按照讲义上的方法,开练吧。
▓ 作业要求:只做奇数小题
▌第二小题 ▌
2. 求下列函数的拉普拉斯逆变换:
ln ( s s + 9 ) \ln \left( {{s \over {s + 9}}} \right) ln(s+9s)
提示:
这个题目应用到Laplace变换的一个性质,如下:
F ( s ) = ∫ 0 − ∞ f ( t ) e − s t d t F\left( s \right) = \int_{0_ - }^\infty {f\left( t \right)e^{ - st} dt} F(s)=∫0−∞f(t)e−stdt F ′ ( s ) = d d s ∫ 0 − ∞ f ( t ) e − s t d t = ∫ 0 − ∞ − t ⋅ f ( t ) e − s t d t F'\left( s \right) = {d \over {ds}}\int_{0_ - }^\infty {f\left( t \right)e^{ - st} dt} = \int_{0_ - }^\infty { - t \cdot f\left( t \right)e^{ - st} dt} F′(s)=dsd∫0−∞f(t)e−stdt=∫0−∞−t⋅f(t)e−stdt t ⋅ f ( t ) = − L − 1 [ d F ( s ) d s ] t \cdot f\left( t \right) = - L^{ - 1} \left[ {{{dF\left( s \right)} \over {ds}}} \right] t⋅f(t)=−L−1[dsdF(s)]
▌第三小题 ▌
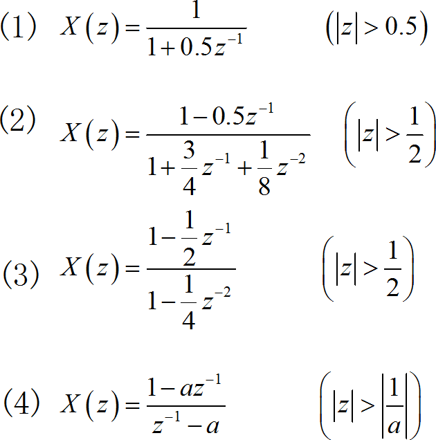
3.写出下列 z 变换所对应的序列。

作业要求:只做奇数小题
▌第四小题 ▌
4. 求下列 X ( z ) X\left( z \right) X(z)的逆变换 x [ n ] x\left[ n \right] x[n]

▌第五小题 ▌
5. 利用三种逆在变换方法求下列 X ( z ) X\left( z \right) X(z)的 逆变换 x [ n ] x\left[ n \right] x[n]。
X ( z ) = 10 z ( z − 1 ) ( z − 2 ) ( ∣ z ∣ > 2 ) X\left( z \right) = {{10z} \over {\left( {z - 1} \right)\left( {z - 2} \right)}}\,\,\,\,\,\,\,\,\,\,\,\,\,\,\left( {\left| z \right| > 2} \right)\;\;\;\;\; X(z)=(z−1)(z−2)10z(∣z∣>2)
▌第六小题 ▌
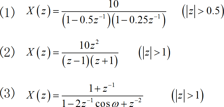
6. 求下列 X ( z ) X\left( z \right) X(z)的逆变换 x [ n ] x\left[ n \right] x[n]。

- 2021年春季学期-信号与系统-第一次作业参考答案
- 2021年春季学期-信号与系统-第二次作业参考答案
- 2021年春季学期-信号与系统-第三次作业参考答案
- 2021年春季学期-信号与系统-第四次作业参考答案
- 2021年春季学期-信号与系统-第五次作业参考答案
- 2021年春季学期-信号与系统-第六次作业参考答案
- 2021年春季学期-信号与系统-第七次作业参考答案
- 2021年春季学期-信号与系统-第八次作业参考答案
- 2021年春季学期-信号与系统-第九次作业参考答案
- 2021年春季学期-信号与系统-第十次作业参考答案
- 2021年春季学期-信号与系统-第十一次作业参考答案
- 2021年春季学期-信号与系统-第十二次作业参考答案
- 2021年春季学期-信号与系统-第十三次作业参考答案
- 2021年春季学期-信号与系统-第十四次作业参考答案
- 2021年春季学期-信号与系统-第十五次作业参考答案
文章来源: zhuoqing.blog.csdn.net,作者:卓晴,版权归原作者所有,如需转载,请联系作者。
原文链接:zhuoqing.blog.csdn.net/article/details/116245369
- 点赞
- 收藏
- 关注作者
评论(0)