2021年春季学期-信号与系统-第九次作业参考答案
【摘要】
▓ 第九次作业各个小题参考答案
2021年春季学期-信号与系统-第九次作业参考答案-第一小题 2021年春季学期-信号与系统-第九次作业参考答案-第二小题 2021年春季学期-信号与系统-第九次作...

▓ 第九次作业各个小题参考答案
- 2021年春季学期-信号与系统-第九次作业参考答案-第一小题
- 2021年春季学期-信号与系统-第九次作业参考答案-第二小题
- 2021年春季学期-信号与系统-第九次作业参考答案-第三小题
- 2021年春季学期-信号与系统-第九次作业参考答案-第四小题
- 2021年春季学期-信号与系统-第九次作业参考答案-第五小题
- 2021年春季学期-信号与系统-第九次作业参考答案-第六小题
▌第一小题 ▌
1.求下列函数的拉普拉斯变换:

作业要求:只做奇数小题
▌第二小题 ▌
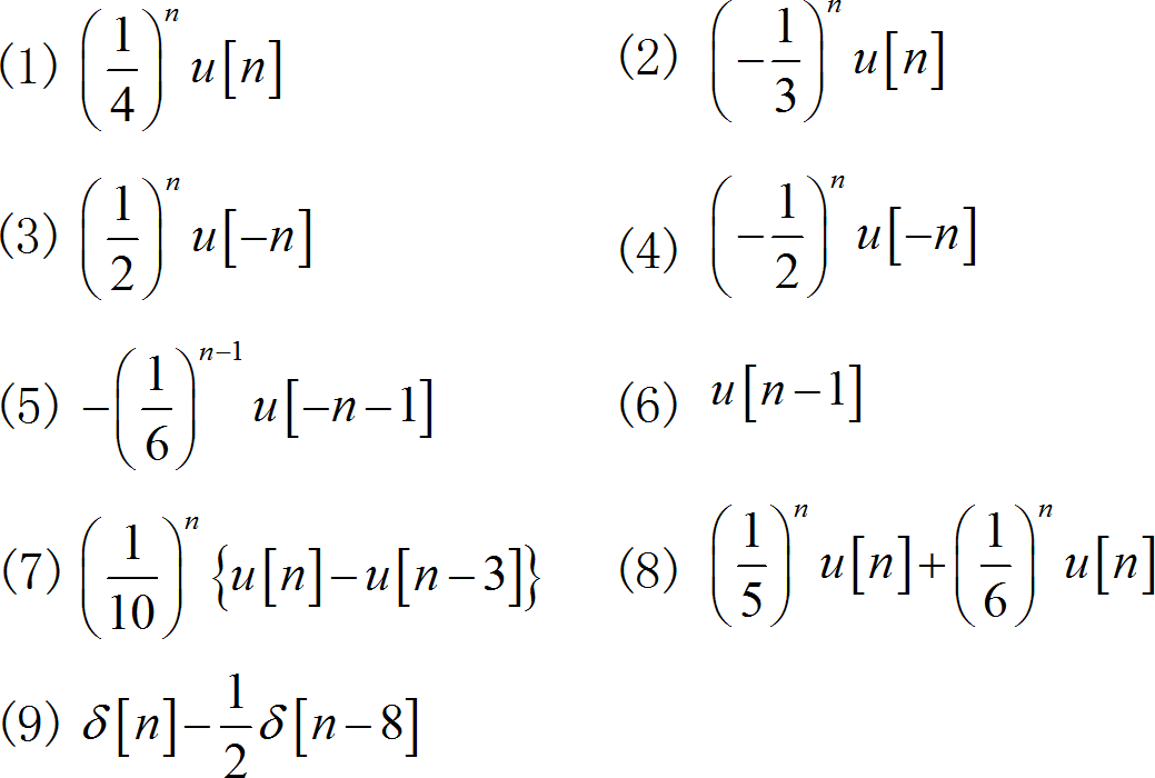
2. 求下列序列的z变换 X ( z ) X\left( z \right) X(z),并标明收敛域, 绘出 X ( z ) X\left( z \right) X(z)的零极点图。

作业要求:只做奇数小题
▌第三小题 ▌
3. 求双边序列 x [ n ] = ( 1 a ) ∣ n ∣ , ∣ a ∣ > 1 x\left[ n \right] = \left( {{1 \over a}} \right)^{\left| n \right|} ,\,\,\left| a \right| > 1 x[n]=(a1)∣n∣,∣a∣>1 , 的 z变换,并标明收敛域 及绘出零极点图。
▌第四小题 ▌
4. 设三角形和升余弦信号的底宽均为 τ \tau τ ,用抽样间隔为 的单位脉冲序列对它们进行采样。当 T s = τ 8 T_s = {\tau \over 8} Ts=8τ时,分别画出采样后信号的频谱。
▌第五小题 ▌
5. 已知矩形信号的底宽 τ = 2.5 m s \tau = 2.5ms τ=2.5ms 。设该信号的频谱第8个过零点以外的频谱分量可以忽略,对该信号的抽样最小频率是多少?
▌第六小题 ▌
在MATLAB中练习使用laplace,ilaplace, ztrans, iztrans命令完成LT,ZT变换和反变换,并对于前面习题中相应的结果进行验证。
(1)使用MATLAB求解LT

(2)使用MATLAB进行z变换

- 2021年春季学期-信号与系统-第一次作业参考答案
- 2021年春季学期-信号与系统-第二次作业参考答案
- 2021年春季学期-信号与系统-第三次作业参考答案
- 2021年春季学期-信号与系统-第四次作业参考答案
- 2021年春季学期-信号与系统-第五次作业参考答案
- 2021年春季学期-信号与系统-第六次作业参考答案
- 2021年春季学期-信号与系统-第七次作业参考答案
- 2021年春季学期-信号与系统-第八次作业参考答案
- 2021年春季学期-信号与系统-第九次作业参考答案
- 2021年春季学期-信号与系统-第十次作业参考答案
- 2021年春季学期-信号与系统-第十一次作业参考答案
- 2021年春季学期-信号与系统-第十二次作业参考答案
- 2021年春季学期-信号与系统-第十三次作业参考答案
- 2021年春季学期-信号与系统-第十四次作业参考答案
- 2021年春季学期-信号与系统-第十五次作业参考答案
文章来源: zhuoqing.blog.csdn.net,作者:卓晴,版权归原作者所有,如需转载,请联系作者。
原文链接:zhuoqing.blog.csdn.net/article/details/116245942
【版权声明】本文为华为云社区用户转载文章,如果您发现本社区中有涉嫌抄袭的内容,欢迎发送邮件进行举报,并提供相关证据,一经查实,本社区将立刻删除涉嫌侵权内容,举报邮箱:
cloudbbs@huaweicloud.com
- 点赞
- 收藏
- 关注作者
评论(0)