2021年春季学期-信号与系统-第十次作业参考答案-第一小题

本博文是 2021年春季学期-信号与系统-第十次作业参考答案 。
▌第一小题 ▌
1. 求下列函数的拉普拉斯逆变换:

提示:按照讲义上的方法,开练吧。
▓ 作业要求:只做奇数小题
■ 求解:
(1)


(2)


(3)



(4)



(5)



(6)



(7)


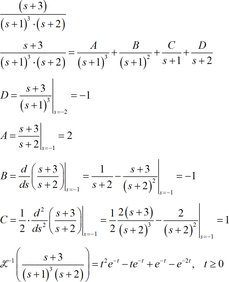
(8)



(9)



(10)



(11)

(12)



(13)



(14)

▓ MATLAB对应的变换命令
( 1 ) 1 s + 2 \left( 1 \right)\,\,\,{1 \over {s + 2}} (1)s+21
ilaplace(1/(s+2))’
ans=exp(-2*t)
( 2 ) 4 2 s + 5 \left( 2 \right)\,\,\,{4 \over {2s + 5}} (2)2s+54
ilaplace(4/(2s+5))’
ans=2exp(-(5*t)/2)
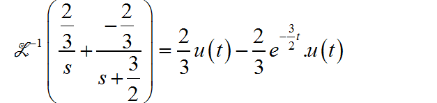
( 3 ) 2 s ( 2 s + 3 ) \left( 3 \right)\,\,\,{2 \over {s\left( {2s + 3} \right)}} (3)s(2s+3)2
ilaplace(2/(s*(2s+3)))’
ans=2/3-(2exp(-(3*t)/2))/3
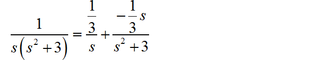
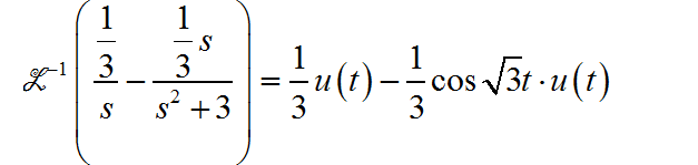
( 4 ) 1 s ( s 2 + 3 ) \left( 4 \right)\,\,\,{1 \over {s\left( {s^2 + 3} \right)}} (4)s(s2+3)1
ilaplace(1/(s*(s*s+3)))’
ans=1/3-cos(3^(1/2)*t)/3
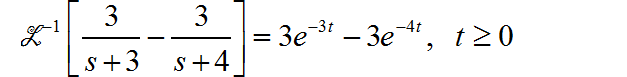
( 5 ) 3 ( s + 4 ) ( s + 3 ) \left( 5 \right)\,\,{3 \over {\left( {s + 4} \right)\left( {s + 3} \right)}} (5)(s+4)(s+3)3
ilaplace(3/(s+4)/(s+3))’
ans=3exp(-3t)-3exp(-4t)
( 6 ) 3 s ( s + 4 ) ( s + 3 ) \left( 6 \right)\,\,{{3s} \over {\left( {s + 4} \right)\left( {s + 3} \right)}} (6)(s+4)(s+3)3s
ilaplace(3s/(s+4)/(s+3))’
ans=12exp(-4t)-9exp(-3*t)
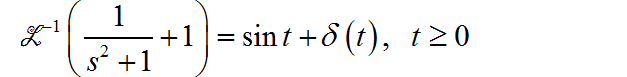
( 7 ) 1 s 2 + 1 + 1 \left( 7 \right)\,\,\,{1 \over {s^2 + 1}} + 1 (7)s2+11+1
ilaplace(1/(s*s+1)+1)’
ans=dirac(t)+sin(t)
( 8 ) 1 s 2 − 3 s + 2 \left( 8 \right)\,\,\,{1 \over {s^2 - 3s + 2}} (8)s2−3s+21
ilaplace(1/(ss-3s+2))’
ans=exp(2*t)-exp(t)
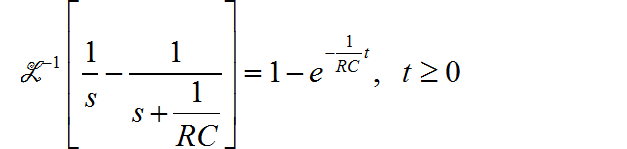
( 9 ) 1 s ( R C s + 1 ) \left( 9 \right)\,\,{1 \over {s\left( {RCs + 1} \right)}} (9)s(RCs+1)1
ilaplace(1/(s*(RCs+1)))’
ans=1-exp(-t/(C*R))
( 10 ) 1 − R C s s ( 1 + R C s ) \left( {10} \right)\,\,\,{{1 - RCs} \over {s\left( {1 + RCs} \right)}} (10)s(1+RCs)1−RCs
ilaplace(1/(s*(RCs+1)))’
ans=1-exp(-t/(C*R))
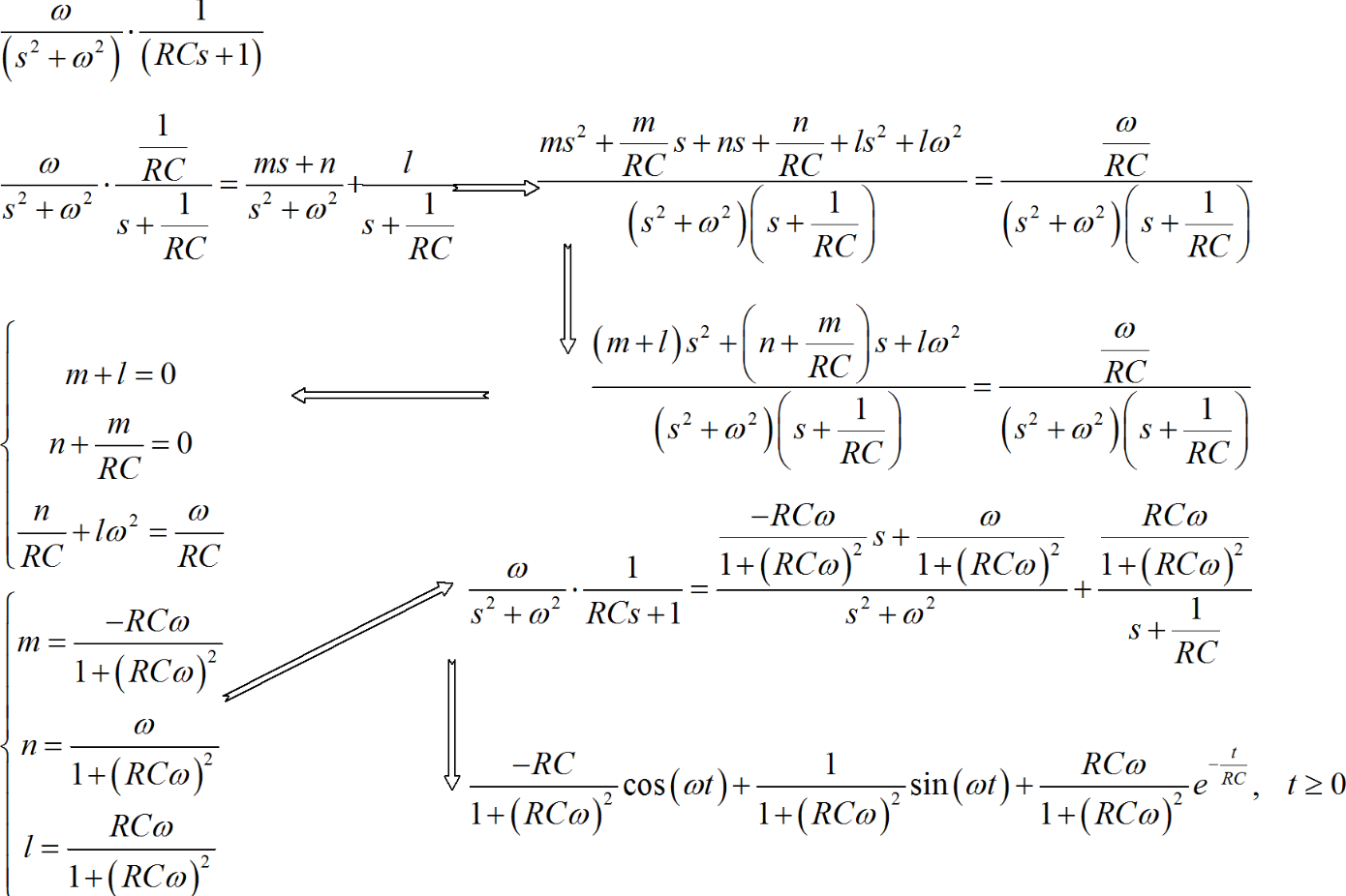
( 11 ) ω ( s 2 + ω 2 ) ⋅ 1 ( R C s + 1 ) \left( {11} \right)\,\,{\omega \over {\left( {s^2 + \omega ^2 } \right)}} \cdot {1 \over {\left( {RCs + 1} \right)}} (11)(s2+ω2)ω⋅(RCs+1)1
ilaplace(w/(ss+ww)/(RCs+1))’
ans=(sin(tw)-CRwcos(tw))/(C2*R2w2+1)+(C*R*w*exp(-t/(C*R)))/(C2*R2*w2+1)
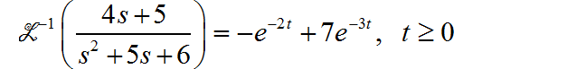
( 12 ) 4 s + 5 s 2 + 5 s + 6 \left( {12} \right)\,\,\,\,{{4s + 5} \over {s^2 + 5s + 6}} (12)s2+5s+64s+5
ilaplace((4s+5)/(ss+5s+6))’
ans=7exp(-3t)-3exp(-2*t)
( 13 ) 100 ( s + 50 ) s 2 + 201 s + 200 \left( {13} \right)\,\,\,{{100\left( {s + 50} \right)} \over {s^2 + 201s + 200}} (13)s2+201s+200100(s+50)
ilaplace(100*(s+50)/(ss+201s+200))’
ans=(4900exp(-t))/199+(15000exp(-200*t))/199
( 14 ) s + 3 ( s + 1 ) 3 ⋅ ( s + 2 ) \left( {14} \right)\,\,\,{{s + 3} \over {\left( {s + 1} \right)^3 \cdot \left( {s + 2} \right)}} (14)(s+1)3⋅(s+2)s+3
ilaplace((s+3)/(s+1)^3/(s+2))’
ans=exp(-t)-exp(-2t)-texp(-t)+t^2*exp(-t)
▌其它小题参考答案 ▌
▓ 第十次作业各个小题参考答案:
- 2021年春季学期-信号与系统-第十次作业参考答案-第一小题
- 2021年春季学期-信号与系统-第十次作业参考答案-第二小题
- 2021年春季学期-信号与系统-第十次作业参考答案-第三小题
- 2021年春季学期-信号与系统-第十次作业参考答案-第四小题
- 2021年春季学期-信号与系统-第十次作业参考答案-第五小题
- 2021年春季学期-信号与系统-第十次作业参考答案-第六小题
文章来源: zhuoqing.blog.csdn.net,作者:卓晴,版权归原作者所有,如需转载,请联系作者。
原文链接:zhuoqing.blog.csdn.net/article/details/116245563
- 点赞
- 收藏
- 关注作者
评论(0)