为什么磁场强度大了呢?
由于今年赛道中存在着环型赛道,在电磁赛道中,电磁线的铺设根据参赛队伍的建议,采用“双圈”铺设方法。

但是近期不少同学反映,双圈电磁线铺设后的赛道,尽管通入赛道的电流改为50mA,但是磁场似乎比起原来单圈铺设,采用100mA电流驱动时变大了。纷纷询问这是为什么?
也有的同学对比了模拟交流信号源和数字交流信号源在实际输出50mA的时候,信号源显示需要分别调整到20mA,以及40mA。

他们采用1欧姆的采样电阻,在交流毫伏表显示50mV的时候,定义为信号源的输出为50mA。
看到这是一个很好将数学原理和工程线性结合的问题,因此,我作了一些实际的测量实验,下面从“数学原理”,“信号测量”,“现象分析”三个步骤进行解释。
为了清晰解释同学们遇到的问题,需要使用到在210年前(1807年)由法国数学家Fourier提出的一个伟大而优美的数学定理:
傅里叶变换。对于周期信号来讲,该定理表述了可以将任何周期信号分解成一系列频率是基波频率整数倍数(谐波)的正弦信号叠加而成。

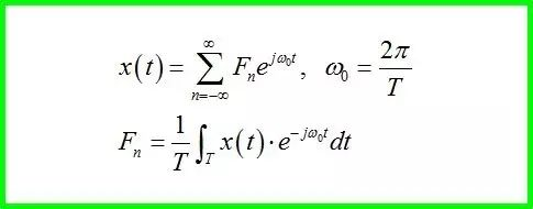
这个分解的过程可以由以下两个公式表示:(虽说每增加一个公式,阅读者就会减少一半,但我还是将这优美的公式写出来)

上述公式中,x(t)是周期信号,T是它的周期,ω0是对应的角频率。Fn则是谐波的系数,它的模和相角分别表示了谐波的幅值和相位。下图右边则表示了由周期矩形脉冲信号中各个谐波幅值组成的幅度谱。

信号的频谱具有离散型、谐波性和衰减性。衰减的快慢与信号波形的光滑程度有关系。下图显示了矩形脉冲波形逐步过渡到三角脉冲波形的过程中,频谱幅值衰减的趋势的变化。

显然,波形变化越缓慢,频谱衰减越快,此时对应信号中的基波成分越多,高频成分就越少。
在智能车电磁组赛道中心,铺设有电磁漆包线,其中通有20kHz的交变电流,在赛道上产生周期震荡磁场。车模传感器采用开放式的10mH工字电感感应交变磁场,形成感应电压信号。该信号强度跟电感与电磁线之间的相互位置有关系,近而可以利用多个电感测量车模相对于赛道中心线的偏差。

感应电压信号同样也是一个频率为20kHz的周期信号。为了抑制噪声,在实际应用中,在感应电感上并联一个6.8nF的谐振电容,选出周期信号的基频信号进行放大和检测,而将其他的高阶谐波都滤除掉了。
根据以上分析,车模实际感知的是交变磁场中的基波分量,因此,在整个信号中,基波所占的比例越大,感知的磁场强度就越大。而这与信号波形的光滑程度有关系。
为了评估交变磁场中基波的成分,就需要知道交变磁场强度变化的波形,它与电磁线中的电流波形是一致的。
电磁线中的电流是由20kHz的恒流交变电源驱动赛道上的电磁线所产生。下图是竞赛组委会给出的交变信号源输出参考电路,它实际上是利用MOS管在工作区内漏极电流恒定特性实现恒流输出的。

赛道上的电磁线圈可以看成一个电感和电阻串联的电路。那么赛道上的电感、电阻的参数是多少呢。确定这个问题最直接的方法就是进行测量。

在我办公室外边楼道口采用0.5mm的漆包线铺设了一个3.6米乘以4.7米的方形电磁跑道,分别测量了双圈和单圈下,赛道的阻抗参数。

双圈:电感为96uH,电阻1.04欧姆;
单圈:电感27uH,电阻0.56欧姆。
空心电感值与匝数的平方成正比,电阻值与匝数成正比。上面的测量值验证了这个规律。
为了测量在不同圈数下,赛道中的电流波形,使用两个电感分别为22uH,100uH的标准电感,再串联一个电阻模拟赛道的电气参数。

使用快速制板,搭建一个仿真电路。

使用一个数字20kHz的信号源进行驱动。然后进行测量输入信号与电阻两端的电压波形。

下图显示的是电感为22uH时,电阻上的电压波形。这对应着单圈电磁线的情况。

下图是电感为100uH时,电阻上的电压波形,对应着双圈电磁线的情况。此时,由于电感量增大了四倍,电流的上升和下降出现了明显的缓坡。

电阻上的波形,对应着输出电流波形。上面示波器中通道2波形对应着电路输入电压波形。由于信号源有恒流限流,所以实际输出电压波形是对应着电流变化时电感上的脉冲电压。
为了不吓走更多的读者,对于上面的数据就不再使用公式进行定量计算了。可以根据“数学原理”中关于谐波分量与波形之间的关系可以知道,在电磁线双圈的情况下,电流波形变缓了,所以其中的高频分量衰减更快,而基波的比例就增加了。所以在相同的平均电流的情况下,车模所感知的磁场就增强了。

根据上述波形参数,按照傅里叶变换公式,可以具体计算出磁场增加的比例。对于这一点,感兴趣的同学可以自行推导一下。
根据上述分析,随着赛道中的电感量的增加,的确会在相同的信号源输出电流的情况下,增加磁场的强度,请参赛队伍注意上述的变化。
在本文最开始,两组同学分别使用车模电磁传感器,以及毫伏表测量电流采样电阻两种方法验证磁场增加了的现象。但是他们这两种方式的背后原理还是不一样的。具体分析在以后再找机会进一步分析。

最后再提醒一下,如果使用毫伏表测量20kHz交变信号,一定选择高频交流电压表,否则得不到正确的结果。上面途中就显示,FLUKE45表能够显示正确高频交流信号的有效值,而UT39E则无法显示20kHz的交流信号有效值。
对于智能车制作过程中,非常多的现象背后,都蕴含着统一的信号与系统的基本原理。大家在制作过程中,需要对于出现的问题需要特别留心,能够与课内所学的知识结合起来,这样就能够将智能车制作过程中积累的经验用于未来的工程实践中去。

什么?你现在还没有学习信号与系统,那还等什么。学堂在线上的信号与系统MOOC课程正在等着你来呢。在那里,我会将智能车竞赛中各种现象背后的信号与系统的基本原理给你慢慢道来。
文章来源: zhuoqing.blog.csdn.net,作者:卓晴,版权归原作者所有,如需转载,请联系作者。
原文链接:zhuoqing.blog.csdn.net/article/details/105125736
- 点赞
- 收藏
- 关注作者
评论(0)