一个简单的Apriltag,数字,动物水果分类器

简 介: 对于全国大学生智能车竞赛竞赛室内视觉AI组用于识别Apriltag,数字,动物以及水果任务,本文提出了基于图片像素的HSV空间的统计值,建立了一个简单的大类分类器。利用这个分类器可以非常精确的在第一时间吧图片分成Apriltag,数字以及彩色图片(动物和水果),然后在利用不同的识别模型进一步识别。
由于这个过程应用了对于图片库的先验知识,一方面可以继续应用原来已经建立好的Apriltag、数字、动物以及水果识别模型,另一方面也可以提高整个识别的效率。
关键词: 智能车竞赛,室内视觉AI,分类器,机器视觉
§01 简单分类器
一、应用背景
在第十六届全国大学生智能车竞赛全国总决赛中,为了适应 线上总决赛 的要求, 室内视觉AI组的比赛采用了 赛道积分与识别积分分离 的比赛形式,这样可以保证比赛过程中更加的紧凑高效。

▲ 图1.1 智能车在识别图片任务
为了避免人工对于识别过程的干预,整个识别过程是由计算机随机给出Apriltag,数字,动物以及水果图片,由参赛车模自动根据拍摄的照片给出识别结果。
由于之前的比赛,Apriltag,数字,动物以及水果分别位于赛道的不同位置,Apriltag位于赛道上,数字位于三岔路口,动物和水果则位于赛道两旁。所以智能车模可以预先根据车模所处在赛道的不同位置,指导摄像头所拍摄的图片中的种类分别属于哪一大类。然后在分别调取不同的识别模型和算法来进一步处理图片。
在新的比赛模式下,所有的图片都是随机出现,因此,需要预先判断图片属于哪一大类,然后才能够调取原来的识别模型。那么改如何设计一个简单的分类算法,将获取的图片先划分到三大类(Apriltag,数字以及动物与水果)呢?
本文下面就讨论一个利用图片的像素颜色来进行分类的简单算法。
二、原始数据
1、数据库来源
在 第十六届智能汽车竞赛AI视觉组分赛区数据集发布 给出了应用在智能车竞赛中的四类图片的数据集合以及下载的方式。
- 智能车竞赛数据集合:
-
AprilTag:25h9 系列 0 ~ 9
数字:0 ~ 9
动物图片:五个子类:牛(93)、狗(101)、猪(88)、猫(99)、马(95)
水果图片: 橙子(86)、榴莲(75)、苹果(88)、葡萄(89)、香蕉(93)
数据库总体数量 927 张图片。

▲ 图1.2.1 Apriltag图片

▲ 图1.2.2 数字图片

▲ 图1.2.3 水果-桔子

▲ 图1.2.4 动物-牛图片
2、数据库存储目录
AprilTtag码
Tag25h9_0.png
Tag25h9_1.png
Tag25h9_2.png
Tag25h9_3.png
Tag25h9_4.png
Tag25h9_5.png
Tag25h9_6.png
Tag25h9_7.png
Tag25h9_8.png
Tag25h9_9.png
动物
├─牛
├─狗
├─猪
├─猫
└─马
数字
0.png
1.png
2.png
3.png
4.png
5.png
6.png
7.png
8.png
9.png
水果
├─榴莲
├─橙子
├─苹果
├─葡萄
└─香蕉
- 1
- 2
- 3
- 4
- 5
- 6
- 7
- 8
- 9
- 10
- 11
- 12
- 13
- 14
- 15
- 16
- 17
- 18
- 19
- 20
- 21
- 22
- 23
- 24
- 25
- 26
- 27
- 28
- 29
- 30
- 31
- 32
- 33
- 34
- 35
from headm import *
alldir = r'D:\Temp\ALL'
subdirstr = ['ApriTtag码', '数字', '动物', '水果']
animalstr = '狗,马,猫,牛,猪'
fruitstr = '橙子,榴莲,苹果,葡萄,香蕉'
animalsub = animalstr.split(',')
fruitsub = fruitstr.split(',')
def subfile(sub):
dirname = os.path.join(alldir, sub)
files = [os.path.join(alldir, sub, f) for f in os.listdir(dirname) if f[-3:]=='png']
return files
allfile = []
allfile.extend(subfile(subdirstr[0]))
allfile.extend(subfile(subdirstr[1]))
for s in animalsub:
substr = '动物\\%s'%s
allfile.extend(subfile(substr))
for s in fruitsub:
substr = '水果\\%s'%s
allfile.extend(subfile(substr))
printf(len(allfile))
- 1
- 2
- 3
- 4
- 5
- 6
- 7
- 8
- 9
- 10
- 11
- 12
- 13
- 14
- 15
- 16
- 17
- 18
- 19
- 20
- 21
- 22
- 23
- 24
- 25
- 26
- 27
- 28
- 29
三、图片颜色
1、基本识别方案
为了建立一个非常简单的Apriltag,数字、动物和水果的分类器,需要:
- 结合已知先验知识,借助于简化的模式识别的方法建立分类器;
- 抛开对于图片内的形态识别特征,转换使用基于像素的统计规律,这样可以大大提高检测速度;
因此,计划使用图片的颜色空间的统计特性来区分三类。主要利用原则:
- 由于Apriltag,数字都是黑白的图片;利用这一点可以用于区分水果与动物;
- Apriltag与数字在黑白的占空比方面不同,可以利用图片的灰度分布统计来,或者平均灰度来区分这两类。
2、图片的RGB转换HSV
根据黑白图片与参赛图片之间关系,可以把Apriltag,数字分布与动物水果进行区分。为了有效区分彩色图片与黑白图片,则需要将图片从 RGB转换到HSV空间。 在HSV(Hue, Saturation, Value)中, S 分量表示色彩的保护度,也就是颜色距离白色与纯色之间的差异度量。通常取0% ~ 100%, S值越大颜色就越饱和。

▲ 图1.3.2.1 图片的RGB

▲ 图1.3.2.2 Apriltag RGB图片
在 Python Math: Convert RGB color to HSV color 给出了RGB转换到HSV计算公式。

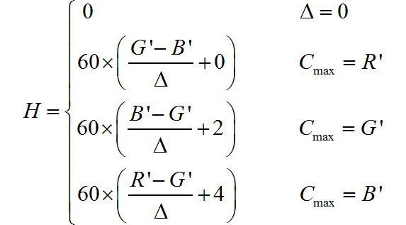
那么, H , S , V H,S,V H,S,V的计算公式如下:


V = C max V = C_{\max } V=Cmax
下面给出了数字图片以及动物与水果对应的S分量的分布。可以看到黑白图片的S分量大都分布在0附近,而普通的彩色图片对应的S分量分布具有很多很大的数值。

▲ 图1.3.4 黑白图片 4 对应的S的分布
▲ 图1.3.3 不同的彩色图片对应的S分量的分布
3、利用平均色饱和度区分彩色与黑白图片
计算图片的色保护平均值:
S a v e r a g e = ∑ i , j S ( i , j ) N S_{average} = {{\sum\limits_{i,j}^{} {S\left( {i,j} \right)} } \over N} Saverage=Ni,j∑S(i,j)
- 其中:
-
S(i,j): 图片每个像素的色饱和值
N:图片的像素个数
对于907张动物与水果的平均色饱和度值得分布如下图所示:

▲ 图1.3.3.1 动物与水果平均S值
如果取一个阈值 S min S_{\min } Smin作为区别黑白 与彩色图片的阈值, S min S_{\min } Smin越大,对于黑白图片的误判成彩色图片概率就越低,但对于彩色图片误判成黑白图片的概率就越大。
下图给出了使用S平均值判断彩色图片时,随着阈值的增加,正确率的变化:

▲ 图1.3.3.2 阈值与彩色图片判断正确率
可以看到当阈值取10的时候,判断黑白照片与彩色照片的正确率大约为95%,当阈值取20的时候,正确率已经下降到90%以下了。
由于使用摄像头摄取图片的时候,存在一定的图片白平衡失真,上面色饱和阈值不能够设置太高,否则就会使得黑白图片被误判成彩色图片。
下面是色饱和度小于10的动物与水果图片,共有39张,可以看到它们的确都接近于灰色图片,或者图片中动物的比例较小,大部分为背景白色。

▲ 图1.3.3.4 色饱和度小于10的图片
4、图片灰度
如果仅仅通过色保护度来区分黑白图片(Apriltag, 数字)与彩色照片(动物和水果)会存在比较大的误差。下面还可以通过图片的灰度分布差异来进一步区分黑白图与彩色图片。
下面是对于所有平均色饱和度小于20的图片绘制出他们亮度分布(V值),可以看到他们具有一个很大的特点,就是除了亮度值非常大(对应背景白色)之外,还存着一定数量的灰度值分布。

▲ 图1.3.4.1 色保护度小于20的图片亮度值分布
而对比黑色图片(Apriltag,数字)图片的亮度分布,可以看到它的分布主要集中在最高值与最低值,中间分布很少。因此,可以利用这个差异进一步区分黑白图片与彩色图片。

▲ 图1.3.4.2 黑白图的亮度值分布
对于平均色饱和小于20(总共有41张图片),计算它的次级亮度平均值:
V a v e r a g e = 1 N 1 ∑ V ( i , j ) < 230 V ( i , j ) V_{average} = {1 \over {N_1 }}\sum\limits_{V\left( {i,j} \right) < 230}^{} {V\left( {i,j} \right)} Vaverage=N11V(i,j)<230∑V(i,j)
在上面公式中的230是相对于亮度最高位255时所设定的阈值,把所有不是最高亮度,也就是背景像素之外的像素亮度(V值)相加,再除以这些像素个数 N 1 N_1 N1,所得到的次级亮度平均值的分布如下图所示:

▲ 图1.3.4.3 灰度平均值
下面是对20张黑白图(Apriltag,数字)利用计算的次级亮度平均值的分布。可以看到它们的值都小于20。

▲ 图1.3.4.4 所有黑白(Apriltag, 数字)图片的次级亮度平均值分布
如果取35作为阈值,使用次级亮度平均值来区分黑白图与彩色图片,可以达到100%的正确率。
五、利用S,V区分设置分类器
为了提高分类器的适应性,可以考虑联合图片的S,V来区分黑白图与彩色图。计算图片的平均色饱和度值 S a v e S_{ave} Save以及次级平均亮度值 V a v e V_{ave} Vave。选择两个合适的阈值: S T S_T ST以及 V T V_T VT,对于同时满足: S a v e < S T , V a v e < V T S_{ave} < S_T ,\,\,V_{ave} < V_T Save<ST,Vave<VT
判断为黑白图(AprilTag,数字),否则就是彩色图(动物和水果)。
直接对于数据集合的图片来说, S T = 20 , V T = 60 S_T = 20,\,\,\,V_T = 60 ST=20,VT=60,就可以获得100%的正确率。
选择 S T , V T S_T ,V_T ST,VT,以及用于计算次级亮度值的阈值需要根据实际摄像头图片数据进行调整。
六、区分Apriltag与数字
根据图片的平均色保护度以及次级平均亮度可以将黑白图片与动物水果图片区分开来。那么如何区分Apriltag与数字呢?
如果对于前面给出的APriltag 和数字亮度值的分布来看,可以看到Apriltag的黑色背景值比白色背景多,而数字则恰好反过来,它的白色背景像素多余黑色背景像素。利用这一点差异,可以对于黑白图片中的黑色像素(也就是V值低于图片平均灰度的像素)的个数进行统计,如果黑色像素的个数高于所有像素个数的50%,则是Apriltag图片,反之则是数字图片。
※ 算法总结 ※
对于全国大学生智能车竞赛竞赛室内视觉AI组用于识别Apriltag,数字,动物以及水果任务,本文提出了基于图片像素的HSV空间的统计值,建立了一个简单的大类分类器。利用这个分类器可以非常精确的在第一时间吧图片分成Apriltag,数字以及彩色图片(动物和水果),然后在利用不同的识别模型进一步识别。
由于这个过程应用了对于图片库的先验知识,一方面可以继续应用原来已经建立好的Apriltag、数字、动物以及水果识别模型,另一方面也可以提高整个识别的效率。
对于本文前面提到的算法中的阈值,需要根据实际采集到的图片进行进一步优化,使得最终的识别效率达到最高。

▲ 图4.1 我的智能车看到图片识别就像这只鸽子一样
※ 附件程序
from headm import *
from PIL import Image
import cv2
alldir = r'D:\Temp\ALL'
subdirstr = ['ApriTtag码', '数字', '动物', '水果']
animalstr = '狗,马,猫,牛,猪'
fruitstr = '橙子,榴莲,苹果,葡萄,香蕉'
animalsub = animalstr.split(',')
fruitsub = fruitstr.split(',')
def subfile(sub):
dirname = os.path.join(alldir, sub)
files = [os.path.join(alldir, sub, f) for f in os.listdir(dirname) if f[-3:]=='png']
return files
allfile = []
allfile.extend(subfile(subdirstr[0]))
allfile.extend(subfile(subdirstr[1]))
markdim = []
markdim.extend([0]*10)
markdim.extend([1]*10)
for s in animalsub:
substr = '动物\\%s'%s
ssf = subfile(substr)
allfile.extend(ssf)
printff(s, len(ssf))
markdim.extend([2]*(len(allfile)-len(markdim)))
for s in fruitsub:
substr = '水果\\%s'%s
ssf = subfile(substr)
allfile.extend(ssf)
printff(s, len(ssf))
markdim.extend([3]*(len(allfile)-len(markdim)))
pltgif = PlotGIF()
grayfile = tspload('grayfile', 'grayfile')
def img2colorhist(imagefile):
printf(imagefile)
img = Image.open(imagefile)
imghsv = img.convert('HSV')
imgdata = array(Image.Image.getdata(imghsv))
H = imgdata[:,0]
S = imgdata[:,1]
V = imgdata[:,2]
plt.clf()
plt.subplot(1,2,1)
plt.hist(V)
plt.axis([-10, 255, 0, 100000])
plt.subplot(1,2,2)
plt.imshow(img)
plt.draw()
plt.pause(.1)
Vave = sum(V[V < 230]) / len(V[V<230])
Save = sum(S) / shape(imgdata)[0]
if Save < 20 and Vave < 60:
pltgif.append(plt)
return Save
Vave = []
printf(grayfile)
for f in grayfile:
Vave.append(img2colorhist(f))
'''
printf(len(Vave))
plt.clf()
plt.subplot(1,1,1)
plt.hist(Vave, 20)
plt.xlabel("平均灰度值")
plt.ylabel("次数")
plt.grid(True)
plt.tight_layout()
plt.show()
'''
'''
SHist = []
for i in range(len(allfile) - 20):
SHist.append(img2colorhist(allfile[20 + i]))
if i > 100: break
tspsave('grayfile', grayfile=grayfile)
printf(len(grayfile))
'''
'''
'''
pltgif.save()
- 1
- 2
- 3
- 4
- 5
- 6
- 7
- 8
- 9
- 10
- 11
- 12
- 13
- 14
- 15
- 16
- 17
- 18
- 19
- 20
- 21
- 22
- 23
- 24
- 25
- 26
- 27
- 28
- 29
- 30
- 31
- 32
- 33
- 34
- 35
- 36
- 37
- 38
- 39
- 40
- 41
- 42
- 43
- 44
- 45
- 46
- 47
- 48
- 49
- 50
- 51
- 52
- 53
- 54
- 55
- 56
- 57
- 58
- 59
- 60
- 61
- 62
- 63
- 64
- 65
- 66
- 67
- 68
- 69
- 70
- 71
- 72
- 73
- 74
- 75
- 76
- 77
- 78
- 79
- 80
- 81
- 82
- 83
- 84
- 85
- 86
- 87
- 88
- 89
- 90
- 91
- 92
- 93
- 94
- 95
- 96
- 97
- 98
- 99
- 100
- 101
- 102
- 103
- 104
- 105
- 106
- 107
- 108
- 109
- 110
- 111
- 112
■ 相关文献链接:
- 第十六届全国大学生智能车竞赛全国总决赛线上比赛规范
- 第十六届全国大学生智能汽车竞赛总决赛 AI视觉组线上赛细则
- 第十六届智能汽车竞赛AI视觉组分赛区数据集发布
- RGB转换到HSV空间。
- Python Math: Convert RGB color to HSV color
- 转载本博文的公众号-TSINGHUAZHUOQING
● 相关图表链接:
- 图1.1 智能车在识别图片任务
- 图1.2.1 Apriltag图片
- 图1.2.2 数字图片
- 图1.2.3 水果-桔子
- 图1.2.4 动物-牛图片
- 图1.3.2.1 图片的RGB
- 图1.3.2.2 Apriltag RGB图片
- 图1.3.4 黑白图片 4 对应的S的分布
- 图1.3.3 不同的彩色图片对应的S分量的分布
- 图1.3.3.1 动物与水果平均S值
- 图1.3.3.2 阈值与彩色图片判断正确率
- 图1.3.3.4 色饱和度小于10的图片
- 图1.3.4.1 色保护度小于20的图片亮度值分布
- 图1.3.4.2 黑白图的亮度值分布
- 图1.3.4.3 灰度平均值
- 图1.3.4.4 所有黑白(Apriltag, 数字)图片的次级亮度平均值分布
■ 微信留言
-
雪地孤星:卓大大,今天看了哈工程的视频发现一个问题,他们识别的速度很快这个不可否认能力确实很强,但是好多次我看到他们上一次的动作还未做完,下一个图片已经开始识别了,比如那个数字和水果,车还在前进后退的时候已经打激光了,是否应该一个动作完成之后在进行下一个识别?
作者: 这之间可能无法清晰界定。 -
雪地孤星:好的卓大大我再问您个问题,就是那个视觉组是要
1寻迹跑完一次就要播报么?
2那个识别完一次播报时间是来不及的这个怎么办
作者: 1. 如果时间太快,就不需要播报了; 2。只要需要播报正确与错误; -
特仑苏的纯。:卓大大,AI识别既然是完全无序,每一轮之后的那张空白图片是不是没有必要存在了,刚开始启动软件存在就好呀,如果直接点下一张图片切换效果不是更好吗,中间存在一张空白图片太影响鼠标点击了
作者: 很好的建议。 -
特仑苏的纯。:卓大大,这个建议进行的怎么样了呢
作者: 瘸子逛街:卓老师早上好,的确,我们也收到了这样的建议,但也有不同的建议,另外一种建议是保留中间这个空白,但去掉一轮结束后需要重新点开始的功能,用这个空白来表示新的一轮要开始了 -
ʎǝllɐʌ_oʇ_puᴉʍ:卓大,“识别到动物,车模的摄像头左右摇摆两次,摇摆的角度大于90°”,是不是一个摄像头转就可以(openMV, -
ʎǝllɐʌ_oʇ_puᴉʍ:2.小车回到原位时,人还没来得及切换图片,又识别了同一张做了相同动作,算不算失败?
作者: 算失败。 -
ʎǝllɐʌ_oʇ_puᴉʍ:3.跟着车模拍摄是镜头跟着还是人也要保持一定距离。我们铺好赛道后已经没地方走了,只能踩在赛道内。假如人跟着,那又看路又看手机,跑个七八圈人都晕过去了,还容易绊倒压到坡道车模,建议只用镜头跟踪。 -
ʎǝllɐʌ_oʇ_puᴉʍ:因为人没来得及切换导致识别了同一张图,这是人的失误而不是车的失误,算失败我认为不合理。但不算失败又有可能确实是识别错误,毕竟人也不知道mv到底识别了哪一张。所以最终规定:软件切换图片不可能连续两张相同图片。这样就不用担心人反应不过来,识别正误也可以准确记分。
作者: 这个建议挺好的。 -
WEI:卓大,按文件上,库的形状没有限制,那尺寸有吗,比如库仅仅可容纳车模的大小行吗
作者: 可以的。 -
Populusalba:卓老师,越野组别之前的规则里没有说可以用曲线代替折线,新出的规则我们还没来得及改就交了,请问我们可不可以在原来所以元素的位置不变的情况下把折线改成曲线? -
Populusalba:所有元素
作者: 别改了。如果改了对于某些连线还需要重新核算距离等。还是好了用心将你们的车模调试的越快越稳为好。 -
....:单车总成绩35-27=8秒,能保国二么?
作者: 这个成绩令人惊奇。可否发送过来视频让大家见识见识呢? -
绅士仪态:除了两个三岔路口之间应该是90厘米距离和十字的距离限制之外,元素和元素之间就没有距离限制了吧
作者: 没有了。 -
杞萱:卓老师 请问山东赛区成绩啥时候下啊
作者: 已经公布了呀。 -
杞萱:啊不好意思老师 我再去找一下
作者: https://zhuoqing.blog.csdn.net/article/details/119410129 -
半夜汽笛:卓大大,越野组不弃赛的队伍获得国二的条件是什么?是三分钟所得分数超过固定分数就可以获奖,还是跟其他所有队伍放在一起依次排名确定奖项?
作者: 应该是超过一个最低固定分数即可。 -
Y:卓大,请问室内组(比如基础四轮,双车,全向)可以放干簧管霍尔元件这种吗?既然没有车库,是不是干簧管这种也不允许使用
作者: 对的。 应该是这样的传感器在比赛中也起作用了。 -
37.5:卓大大,AI视觉组在识别过程中多久没有识别到即可认定为不做动作,这个规则里没有明确给出
作者: 关于这个问题,我们现在考虑是每个队伍总共在2分钟内至少作出一定识别动作(无论是识别错误,还是识别正确),如果低于一定数值,说明车模的目标识别功能未能完赛。 具体最低次数,我们将会根据比赛结果统计分布来确定。 -
YTD:卓大,今年还有纪念衫嘛
作者: 下周会有相关消息。 -
SorryMaker:卓大,视觉组有几个问题
1.操作软件切换图片和赛道发车的人可以是两个队员吗?
2.激光打靶时我可以在激光亮起时,切换下一张图片吗。比如水果的下一张是数字,车子识别出水果,发出激光,立刻切成数字,但是不执行数字的任务,等激光照射1秒后,才执行数字任务,这样可以吗
3.激光必须照射在键盘上吗,我们使用的是surface,没有键盘,可以照射在surface面前的一张白纸上吗?或者照射到能明显看出激光的地方?
作者: 1. 可以是两个队员; 2. 可以的; 3. 可以的。 -
SorryMaker:4.动物任务,车子舵机左打45°一次,右打舵机45°一次,加起来>90°,这样符合要求吗
作者: 符合。 -
SorryMaker:怕到时候违规了,再向您确认一下。
我车子视觉效果上就是,轮子左摆一下,右摆一下,总共动两下。这样符合规则吧,卓大
作者: 可以的。 -
钉子:卓大大,信标灯控制器的随机亮灯顺序随机性比较大,如果短距离的相邻灯亮的次数多时,在规定时间内,要比远距离相邻亮灯的次数多好几个,感觉这样的话跟运气因素影响还挺大的。
作者: 我们测试了信标灯的随机性: https://zhuoqing.blog.csdn.net/article/details/119514274 -
🌛:卓大大,东北现在越野队伍有24个队,国赛会有多少名额啊
作者: 我明天才能够发布。 -
二丁:最低积分线比赛完再公布,也就是说一定会淘汰一部分队伍是吗?
作者: 不一定的。
作者: 不允许。 -
至想:卓大,我想再确定一下,是在比赛之前都可以弃赛是吧?
作者: 不一定。提交申请之后的弃赛则需要申请。 -
至想:请问怎么申请呢?申请了一定会通过吗?
作者: 不一定通过。 -
至想:那可以给出具体的条件吗?视觉组现在还没出具体细则,但是线上赛申请15号截止,要是细则出来了我们发现难以适应可不可以弃赛呢?
作者: 这样可能就会以没有完赛处理了 -
至想:不太理解,为啥出细则之后就不允许弃赛了? -
至想:之前您说可以临时弃赛,现在又说出规则后弃赛按没有完赛处理,这是不是矛盾的呢?
作者: 已经出了。 -
至想:您不是说具体的细则要比赛前两天才出吗?
作者: 那是具体比赛参数。 -
至想:具体比赛参数是指那些呢?您的意思是从现在开始不允许弃赛了吗?
作者: 具体参数在比赛前才公布。 -
至想:您能告知比赛参数指的是什么吗?真的对比赛规则越来越迷糊了。
作者: 比如比赛的总时长,比赛的任务顺序,识别任务软件和数据库等。 -
至想:那允许弃赛的条件是什么呢?弃赛申请的截止时间又是什么呢?
作者: 只有疫情影响无法参赛才允许弃赛。 -
至想:卓大,这个问题我能在公众号后台和您讨论吗? -
绅士仪态:卓大大,如果提交的赛道不规范,那要怎么办
作者: 按照反馈修改就可以了。很简单。 -
绅士仪态:那我15号提交了,如果赛道不规范会什么时候会给反馈,如果赛道规范会不会通知我们
作者: 会通知你们的。 -
吴昊宇:卓大大您好,请问越野是三分钟一直跑车吗?我听有人说是两分半?
作者: 三分钟。 -
牧野:卓大,请问全向组国赛的国二下限是多少分呀?会进行末位淘汰吗?谢谢快比赛了比较慌
作者: 具体下线分数我们会根据比赛情况而定。 -
牧野:会末位淘汰吗
作者: 有可能。 -
Iron girl:卓老师,比如只设置一个三岔路段,那么对于全向组来说 (向左且改变行进方向)跑完第一圈是五分,第二圈(向右改变行进方向)还是五分对吧 -
Iron girl:卓老师又只精选不回复啦 -
我看到镜中的你:卓老师,请问是不是轮子中心跑到黑线外了才算出界啊
作者: 出界。 -
卜林:卓大大,AI视觉组的时间限制是一个阶段15
分钟还是整体15分钟,感觉整体15分钟对于3次循迹3次识别12分钟不够用啊
作者: 15分钟完不成可以20分钟。 -
ヘッジ:卓大大,我想问下一米的几子直角中间还要放锥桶吗
作者: 必须放。 -
ヘッジ:好的好的,我还想问下发车可以在几之后发车吗
作者: 可以的。 -
風至:卓大 强烈建议越野去掉曲线,在赛道布设的时候就已经说明用的是折线,一开始规则里面也有提现,现在全都换成曲线,这个对于提前搭建设计好并开始调试的组别不公平 如果你想用曲线减转弯半径 那你为什么不铺设直角?对于一些埋头调车的队伍真的不公平 -
枝艺:卓大大,线上比赛还有预赛和决赛嘛?
作者: 只有一轮比赛。 -
ZJ:卓大大,可不可以规范一下越野两个路肩的最小间距啊,现在已经有同学听您说20cm,也有听您说10cm的了
作者: 比赛的时候都按照20厘米安装家就可以。 -
ZJ:那10cm究竟可以吗希望可以规范一下 -
🌛:卓大大,那越野车上还允许安装霍尔以及干簧管吗?
作者: 不允许了。 -
🌛:不是又说可以在起点放磁铁吗
作者: 由于存在漏洞,都禁止了。 -
🌛:主要是车上贴的霍尔不方便拆卸,拆起来很麻烦,卓大大啥时候出个细则,把这些事情都说明清楚,还有赛道的细则。 -
扶苏城里小老二:卓大,参加了的如果名次靠后什么奖都没有,再如果弃赛的多了,比如只有20个队参加那么第20名就也是什么都没有。还有不参加的直接国二,参加了的完成比赛(跑完一圈的)名次靠后的直接什么都没有,参加比赛的还比不上不参加比赛的,那这国赛规则不离谱吗? -
つよい光り:卓大大,请问一下双车组,可以先接力然后一辆车停下让另一辆车单独跑吗(就是说后面不再接力了)
作者: 可以的。 -
つよい光り:停下的车也要求轮子都在赛道内吗
作者: 对的。 -
very GOOD:卓大,赛道提交表 赛道场地因为一些原因不得不更换,那换新环境之后按原来的赛道图纸铺设相同的赛道后,还需要更换赛道环境照片然后重新提交赛道审核word吗
作者: 如果铺设赛道相同只是环境变化是允许的。
作者: 不需要。 -
very GOOD:那这样的话 是不是不用重新提交赛道审核文件了
作者: 如果赛道不变就不用了。 -
十九:国一的百分之三十名额是按照进国赛全部队伍算的还是按照弃赛后的剩下的队伍比例划分
作者: 全部。 -
昊子:卓大,视觉组图像识别部分的图片显示可以用台式机来完成吗。
作者: 可以了。 -
Cyan:卓大 越野之后如果赛道有改动还能联系组委会改赛道吗
作者: 提交之后不允许再次改动了。 -
彭fp:卓大大三叉的路口的路肩有什么具体的要求
作者: 可以不铺设。 -
彭fp:那要铺设的话有什么要求呢
作者: 就按照公布的赛道规则上的标准铺设即可。 -
至想:您的意思是,赛道任务和识别任务都要有一定的底线是吗?那过了这个底线就可以由选手选择是否主动终止任务吗?
作者: 不可以。 -
至想:如果选手不能主动终止任务,那么卓大准备如何通过规则来限制“选手主动终止任务”呢?就像我之前说的,“一直”不换图也是一种变相的终止任务。那如何来规避这种情况呢?也就是说如何确定“一直”的标准呢?能给出具体的方法和规则吗? -
Iron girl:卓老师,那个赛道原理图可以发CAD截图吗 还是需要原文件呢
作者: 截图,有标注。 -
未闻花名:卓大大,越野的坡道可以拿两个同高度的窄坡道拼成一个宽坡道吗,坡道宽度有限制吗
作者: 宽度没有限制。 -
久木:请问卓大 已经提交完赛道设计图之后需要修改元素的话还要重新提交嘛
作者: 不能够再改了。 -
阳阳:卓大大,越野组中元素之间要间隔一米,这一米可以是曲线吗?或者两个元素之间用一米的折线连接?
作者: 可以是曲线。 -
至想:卓大,识别任务可以提前结束吗?就是不到两分钟可以提前把车拿起来吗?
作者: 不可以。 -
至想:如果不可以把车拿起来提前提前结束,那可以不换图吗?不换图也是一种变相的提前结束啊。
作者: 不可以。 -
至想:那不换图也不可以,那怎么计算扣分呢?
作者: 如果识别正确的图片少于一定数值,会判断比赛识别的。
作者: 如果识别正确的图片少于一定的数值,则比赛会判断失败的。 -
He:卓大大,可不可以规范一下越野两个路肩的最小间距啊,现在已经有同学听您说20cm,也有听您说10cm的了 -
He:那卓大我们铺的间距是20可以用吗设计图已经交了,很难留出长度了
作者: 可以的。 -
吴昊宇:卓大大,苯环的交点处和十字的交点处距离2米符合要求吗?
作者: 3米。可养成包括拐弯。 -
why:卓大大,各组的完赛标准(积分下限)什么时候出?
作者: 比赛完之后,在奖项出来之前才能够确定。 -
小辛辛:请问卓老师国赛参赛人员列表今天会公布吗?急!
作者: 今天不会,现在我还没有收到统计数据。估计需要等到明天了。 -
小辛辛:好的,谢谢卓老师! -
张博群:卓大,我们这边的学生电源只能实时显示出已输出的电流,无法直接显示我们设置的电流,但比赛时我们能通过一个电阻短接学生电源两端的方式,让电源来显示出我们所设定的电流。这样的电源是否可以使用呢。
作者: 可以的。 -
〆fuzzy:卓老师,如果铺设路肩的话对路肩间距等有要求吗?
作者: 最初的规则上要求相距25厘米; -
昨日J依稀可见:卓大大,我看到您回复单车的发车点可以是任意的,那在坡道上或直角上可以吗
作者: 为什么这么发车呢?很奇怪。
作者: 不允许。 -
庚辰:卓大大越野组除了磁铁,还有摄像头、红外传感器、黑白灰度传感器都可以用来作为标志判断,这些怎么检查和避免,可以做的功能和磁铁一样。
作者: 通过举报答辩进行检查。 -
Forest:卓大大,裁判员手册三岔得分是成功完成三岔(跑两圈每次不同的支路)得10分还是5分
作者: 十分。 -
wknown:卓大大,建议禁止越野车模携带有关磁场检测的传感器,或者赛道不允许放置磁铁,。如果允许起始位置可以放磁铁,但是有些队会把几字元素放在发车点(发车点是自己定的,等于想放在哪就放在哪),一检测到磁铁就提前转弯,不是正常的判断元素,是投机取巧,这是违规了吧。磁铁对于越野组已经没有作用,没有必要留吧。 -
.:卓大大 1.四个负责人都要是老师吗 可不可以有学长来带替?
2.两个负责人可以为同一个吗?
3.比赛的时候负责人都要到场吗 有的老师可能在老校区过不来
作者: 可以。 -
.:三个问题都可以吗 卓大大
作者: 对。 -
JR:卓大,比赛安排大概什么时候出啊
作者: 明天 -
JR:辛苦了! -
那谁,:那卓大,每个学校不同组别都是在同一天吗
作者: 是的。 -
那谁,:卓大,请问每个学校的不同组别都是在同一天比赛吗?每个学校的比赛时间什么时候公布呢?
作者: 会在20日之前公布。 -
P:卓大大,AI视觉在识别的时候让选手决定收车么?
如果不让的话,车辆已经明显的连续识别错误了,那岂不是两分钟一直扣分?
我觉得三次机会里,选手应该有权利每次机会的两分钟里选择什么时候结束这次机会吧。
作者: 都一样,都需要完成两分钟结束; -
Achilles:卓大,每一条路肩间隔最短是多少厘米呢?还是没有间隔最短限制,如果没有那岂不是5条(10个)路肩可以无缝放一起?
作者: 间隔为25厘米; -
绅士仪态:卓大大,路肩可以放蓝布上吗像三叉路口的蓝布放上路肩可以防止他出界,这样是允许的吗
作者: 路肩铺设在赛道上,不是铺设在蓝布上。 -
绅士仪态:不能铺蓝布上吗,因为我想放蓝布上可以防撞这样就不会出界了 -
绅士仪态:卓大大看我在公众号给你发的照片
作者: 不能够。 -
微醺的岁月:卓老师,一个学校的不同组别会在同一天比吗
作者: 会。 -
🌛:连磁铁霍尔都能卷,真不愧是室外四轮 -
允轩:卓大大,那个赛道的照片四个角的识别物是一定要锥桶吗,可以用其他红色东西代替吗
作者: 使用红色物体替代即可。 -
天天:卓大,国一是50个队伍的30%还是参加比赛的队伍的30%呀
作者: 50个队伍的30%,也就是15个国一; -
。。。:室外越野组感觉有必要把干簧管或者霍尔传感器直接去掉,这样是为了防止别人在草坪下或者沙石下面放置磁铁。
作者: 对,好主意。这个规定我们会在正式比赛前进行检查的。 -
日居月诸:卓大大 建议越野不允许放置磁铁 一是因为有人可以选择发车位置紧挨几字,这样后面几圈的时候就可以提前减速进几字,明显的违规行为。二是越野发车根本不需要磁铁,放置磁铁肯定都是记忆赛道使用。
作者: 有道理。我们会在比赛前要求越野赛道上去除所有的磁铁。 -
王世川:卓大大,那个赛道图纸可不可以手绘,如果不能手绘用什么软件,什么格式啊
作者: 可以手工绘制。但需要将赛道数据表示清楚。 -
王世川:好的 -
随风:卓大大,您之前不是说过越野赛道不能放磁铁吗,现在怎么又可以在起跑位置放磁铁了,希望您统一一下
作者: 起跑位置可以放置。 -
随风:那起跑位置是可以自己定的吗
作者: 可以的。 -
WEI:卓大,按这么说,AI的识别就不是按照之前的那种顺序来了,四个是全都打乱顺序来的是吗?
作者: 对。 -
Cz:卓大,之前不是放磁铁不是说因为记忆赛道不给放吗,为啥又可以了 -
Cz:在几字处发车放磁铁直接记忆打角。似乎难度过低了
作者: 只允许在起跑位置放置。 -
瑞:卓大大,单车的发车地点是不是可以任意
作者: 可以的。 -
雅:我是在大三的时候关注到卓大大,因为考研的原因。后来大四我竟然保送了,但是我依然关注着卓大大,并且置顶。三年后我要成为清华的博士 -
白牛:卓大大,ai视觉组放弃识别扣分吗
作者: 比赛失败。 -
王嘉鹏:卓大大过七夕了吗? -
huzican:卓老师,越野组发车处可以放磁铁吗? -
huzican:卓老师回复一下呗
作者: 可以。 -
52Hz的鲸鱼:卓大大国赛获奖证书会有电子版嘛 -
飞行员换冰激凌:卓老师,弃赛好多组,那么国一是实际参赛的30%,还是总队伍的30%?如果是实际队伍数量那么国一真的很少哎 -
山海江河:比赛时间什么时候出啊?给个安排的时间吧,在学校半年了,看有机会回家看看没得 -
破 晓 曦 光:我当初也取消了置顶和星标,上岸后又加回来了 -
hei:封面图似乎是昨天Google浏览器的新标签页封面图 -
黎冯成:我想至少也要做个边缘特征的,结果搞像素统计就出来了 -
雷昊明:卓大公众号一直置顶+星标
文章来源: zhuoqing.blog.csdn.net,作者:卓晴,版权归原作者所有,如需转载,请联系作者。
原文链接:zhuoqing.blog.csdn.net/article/details/119516750
- 点赞
- 收藏
- 关注作者
评论(0)