【Java 数据结构 & 算法】宁可累死自己, 也要卷死别人 11 二叉树
【摘要】
【Java 数据结构 & 算法】⚠️宁可累死自己, 也要卷死别人 11⚠️ 二叉树
概述树二叉树平衡二叉树
概述
从今天开始, 小白我将带大家开启 Java 数据结构 & ...
概述
从今天开始, 小白我将带大家开启 Java 数据结构 & 算法的新篇章.

树
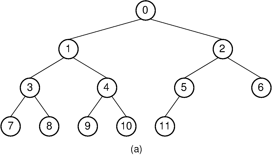
树 (Tree) 是一种抽象数据类型, 用来模拟具有树状结构的数据的集合. 如图:

树由几个部分组成:
- 节点 (Node): 树中的每个元素都称作节点
- 根节点 (Root): 树最顶端的节点
- 子树 (Sub Tree): 除了根节点外的节点组成的树的集合
二叉树
二叉树 (Binary Tree) 是一种特殊的树结构, 树的每个节点最多只能由两个子节点组成. 如图:

树的一些概念:
- 深度 (Depth): 从根节点开始, 从上往下的层数
- 父亲节点: 父亲节点就是一个节点上面的那个节点
- 兄弟节点: 拥有同一父亲节点的节点称为兄弟节点
平衡二叉树
平衡二叉树 (Slef-Balancing Binary Search Tree) 是一种特殊的二叉树. 在平衡二叉树中, 任一节点对应的两颗子树的最大高度差为 1, 而且节点左边比节点大, 右边比节点小. 如图:

文章来源: iamarookie.blog.csdn.net,作者:我是小白呀,版权归原作者所有,如需转载,请联系作者。
原文链接:iamarookie.blog.csdn.net/article/details/121987814
【版权声明】本文为华为云社区用户转载文章,如果您发现本社区中有涉嫌抄袭的内容,欢迎发送邮件进行举报,并提供相关证据,一经查实,本社区将立刻删除涉嫌侵权内容,举报邮箱:
cloudbbs@huaweicloud.com
- 点赞
- 收藏
- 关注作者
评论(0)