Leetcode刷题100天—160. 相交链表( 链表)—day60
【摘要】 前言:作者:神的孩子在歌唱大家好,我叫智 160. 相交链表难度简单1376收藏分享切换为英文接收动态反馈给你两个单链表的头节点 headA 和 headB ,请你找出并返回两个单链表相交的起始节点。如果两个链表没有交点,返回 null 。图示两个链表在节点 c1 开始相交**:**题目数据 保证 整个链式结构中不存在环。注意,函数返回结果后,链表必须 保持其原始结构 。示例 1:输入:in...
前言:
作者:神的孩子在歌唱
大家好,我叫智

160. 相交链表
难度简单1376收藏分享切换为英文接收动态反馈
给你两个单链表的头节点 headA 和 headB ,请你找出并返回两个单链表相交的起始节点。如果两个链表没有交点,返回 null 。
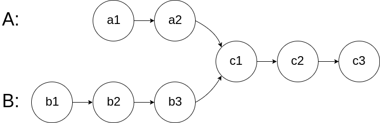
图示两个链表在节点 c1 开始相交**:**
题目数据 保证 整个链式结构中不存在环。
注意,函数返回结果后,链表必须 保持其原始结构 。
示例 1:
输入:intersectVal = 8, listA = [4,1,8,4,5], listB = [5,0,1,8,4,5], skipA = 2, skipB = 3
输出:Intersected at '8'
解释:相交节点的值为 8 (注意,如果两个链表相交则不能为 0)。
从各自的表头开始算起,链表 A 为 [4,1,8,4,5],链表 B 为 [5,0,1,8,4,5]。
在 A 中,相交节点前有 2 个节点;在 B 中,相交节点前有 3 个节点。
示例 2:
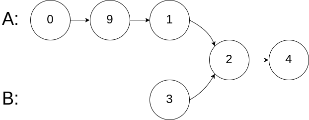
输入:intersectVal = 2, listA = [0,9,1,2,4], listB = [3,2,4], skipA = 3, skipB = 1
输出:Intersected at '2'
解释:相交节点的值为 2 (注意,如果两个链表相交则不能为 0)。
从各自的表头开始算起,链表 A 为 [0,9,1,2,4],链表 B 为 [3,2,4]。
在 A 中,相交节点前有 3 个节点;在 B 中,相交节点前有 1 个节点。
示例 3:
输入:intersectVal = 0, listA = [2,6,4], listB = [1,5], skipA = 3, skipB = 2
输出:null
解释:从各自的表头开始算起,链表 A 为 [2,6,4],链表 B 为 [1,5]。
由于这两个链表不相交,所以 intersectVal 必须为 0,而 skipA 和 skipB 可以是任意值。
这两个链表不相交,因此返回 null 。
提示:
listA中节点数目为mlistB中节点数目为n0 <= m, n <= 3 * 1041 <= Node.val <= 1050 <= skipA <= m0 <= skipB <= n- 如果
listA和listB没有交点,intersectVal为0 - 如果
listA和listB有交点,intersectVal == listA[skipA + 1] == listB[skipB + 1]
**进阶:**你能否设计一个时间复杂度 O(n) 、仅用 O(1) 内存的解决方案?
package 链表;
/*
* https://leetcode-cn.com/problems/intersection-of-two-linked-lists/
* 这道题我之前用了哈希集合一下子就做出来了,这回用双指针遍历迭代o(n)复杂度试试
* 思路:
* 1. 定义两个指针nodeA,和nodeB
* 2. 如果nodeA遍历到了最后面null,那么就指向headB
* 3. 如果nodeB遍历到了最后面null,那么就指向headA
* 4. 根据2和3的循环,最后就能遍历出来了,相当于多循环了一次,
* 因为指针无法获取长度,从他们相等的长度去遍历,所以只能这样
* 题目要求是返回第一个相交的值
*/
public class _160_相交链表 {
public ListNode getIntersectionNode(ListNode headA, ListNode headB) {
// 如果其中一个为空就返回null
if (headA==null||headB==null) {
return null;
}
// 定义指针
ListNode nodeA=headA,nodeB=headB;
// 这里相交也包括null,所以没有相交就直接返回null
while(nodeA!=nodeB) {
nodeA=nodeA==null?headB:nodeA.next;
nodeB=nodeB==null?headA:nodeB.next;
}
return nodeA;
}
}
转载说明:跟我说明,务必注明来源,附带本人博客连接。
【版权声明】本文为华为云社区用户原创内容,未经允许不得转载,如需转载请自行联系原作者进行授权。如果您发现本社区中有涉嫌抄袭的内容,欢迎发送邮件进行举报,并提供相关证据,一经查实,本社区将立刻删除涉嫌侵权内容,举报邮箱:
cloudbbs@huaweicloud.com
- 点赞
- 收藏
- 关注作者




评论(0)