利用R、Octave和NumPy求解线性方程组
【摘要】
利用R、Octave和NumPy求解线性方程组
一、求解二元一次方程组
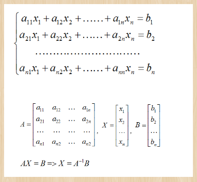
求解线性方程组可以利用克莱姆法则来计算,还可以利用矩阵来计算:
1、采用R来求解
(1)利用行列式来计算
利用R、Octave和NumPy求解线性方程组
一、求解二元一次方程组

求解线性方程组可以利用克莱姆法则来计算,还可以利用矩阵来计算:

1、采用R来求解
(1)利用行列式来计算
文章来源: howard2005.blog.csdn.net,作者:howard2005,版权归原作者所有,如需转载,请联系作者。
原文链接:howard2005.blog.csdn.net/article/details/101592044
【版权声明】本文为华为云社区用户转载文章,如果您发现本社区中有涉嫌抄袭的内容,欢迎发送邮件进行举报,并提供相关证据,一经查实,本社区将立刻删除涉嫌侵权内容,举报邮箱:
cloudbbs@huaweicloud.com
- 点赞
- 收藏
- 关注作者
评论(0)