Python数据分析学习笔记:计算相关系数
【摘要】
Python数据分析学习笔记:计算相关系数
1、相关系数概念
相关系数,或称线性相关系数、皮氏积矩相关系数(Pearson product-moment correlation coefficient, PPCC)等,是衡量两个随机变量之间线性相关程度的指标。它由卡尔·皮尔森(Karl Pearson)在1880年代提出,现已广泛地...
Python数据分析学习笔记:计算相关系数
1、相关系数概念
相关系数,或称线性相关系数、皮氏积矩相关系数(Pearson product-moment correlation coefficient, PPCC)等,是衡量两个随机变量之间线性相关程度的指标。它由卡尔·皮尔森(Karl Pearson)在1880年代提出,现已广泛地应用于科学的各个领域。
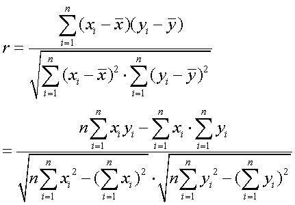
2、相关系数(r)公式
如下图所示,取值范围为[-1,1],r>0表示正相关,r<0表示负相关,|r|表示了变量之间相关程度的高低。特殊地,r=1称为完全正相关,r=-1称为完全负相关,r=0称为不相关。通常|r|大于0.8时,认为两个变量有很强的线性相关性。

3、案例演示——计算年广告费投入与月销售额的相关系数

文章来源: howard2005.blog.csdn.net,作者:howard2005,版权归原作者所有,如需转载,请联系作者。
原文链接:howard2005.blog.csdn.net/article/details/102683700
【版权声明】本文为华为云社区用户转载文章,如果您发现本社区中有涉嫌抄袭的内容,欢迎发送邮件进行举报,并提供相关证据,一经查实,本社区将立刻删除涉嫌侵权内容,举报邮箱:
cloudbbs@huaweicloud.com
- 点赞
- 收藏
- 关注作者
评论(0)