生日问题
【摘要】
目录
一,生日问题
二,一般性生日问题
三,相关问题
四,函数值估算
一,生日问题
In probability theory, the birthday problem or birthday paradox concerns the probability that, in a set of n randomly ch...
目录
一,生日问题
In probability theory, the birthday problem or birthday paradox concerns the probability that, in a set of n randomly chosen people, some pair of them will have the same birthday. In a group of 23 people, the probability of a shared birthday exceeds 50%, while a group of 70 has a 99.9% chance of a shared birthday.
23个人的生日全都不同的概率是
,约等于50%
70个人的生日全都不同的概率是
,约等于0.1%
二,一般性生日问题
在一个有k个不同元素的集合中,不放回地取n个数,全都不同的概率是
设
,则全都不同的概率可以表示成p(n-1)

分别求出3个求求和式:f、g、h
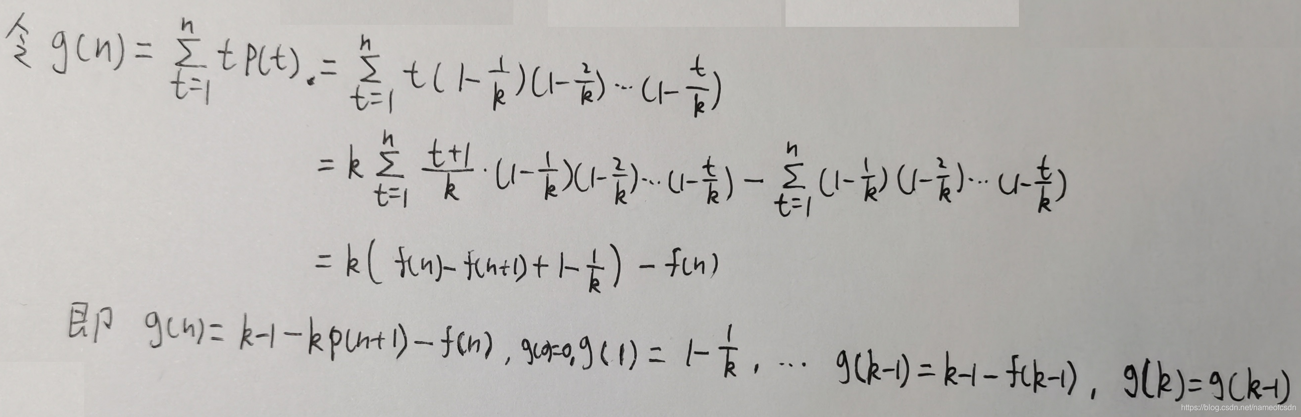
令
,



三,相关问题
在一个有k个不同元素的集合中,不放回地取数,一直到第一次出现重复的数为止,取数的数目(包括最后这个重复的数)的均值是多少呢?

所以
,其中
所以
四,函数值估算


令
,

所以
所以
文章来源: blog.csdn.net,作者:csuzhucong,版权归原作者所有,如需转载,请联系作者。
原文链接:blog.csdn.net/nameofcsdn/article/details/116141651
【版权声明】本文为华为云社区用户转载文章,如果您发现本社区中有涉嫌抄袭的内容,欢迎发送邮件进行举报,并提供相关证据,一经查实,本社区将立刻删除涉嫌侵权内容,举报邮箱:
cloudbbs@huaweicloud.com
- 点赞
- 收藏
- 关注作者
评论(0)