欧拉Gamma函数、Beta函数、余元公式
【摘要】
目录
一,欧拉Gamma函数
1,Gamma函数
2,高斯形式
3,sin πx
4,其他形式
二,余元公式
1,余元公式
2,应用
三,欧拉Beta函数
1,Beta函数
2,和Gamma函数的关系
3,Beta函数的性质
四,Gamma函数的导数
1,拆分
2,可导
3,Gamma函数的导数
4,G...
目录
一,欧拉Gamma函数
1,Gamma函数



2,高斯形式

证明:


3,sin πx

证明:


4,其他形式
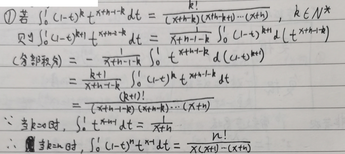
(1)


(2)

二,余元公式
1,余元公式

证明:


2,应用
(1)
即 
(2)上式中,令
,则

(3)
三,欧拉Beta函数
1,Beta函数

2,和Gamma函数的关系

证明:
(1)取
,则

(2)
设
,则

3,Beta函数的性质


四,Gamma函数的导数
1,拆分

其中
显然可导
2,可导
设
,则f(x)严格递增


3,Gamma函数的导数


4,Gamma函数在x=1处的导数
(1)

(2)

(3)

(4)

文章来源: blog.csdn.net,作者:csuzhucong,版权归原作者所有,如需转载,请联系作者。
原文链接:blog.csdn.net/nameofcsdn/article/details/120597251
【版权声明】本文为华为云社区用户转载文章,如果您发现本社区中有涉嫌抄袭的内容,欢迎发送邮件进行举报,并提供相关证据,一经查实,本社区将立刻删除涉嫌侵权内容,举报邮箱:
cloudbbs@huaweicloud.com
- 点赞
- 收藏
- 关注作者
评论(0)