无穷级数的多种计算方法
【摘要】
目录
〇,证明
一,变形
二,多种证明方法
1,二重积分证法(1)
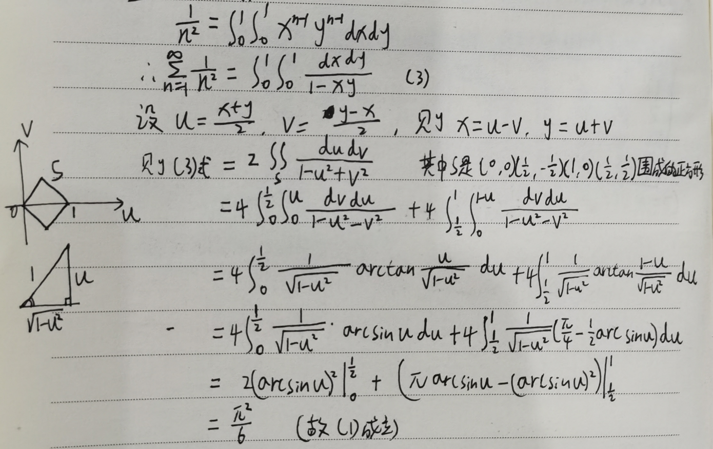
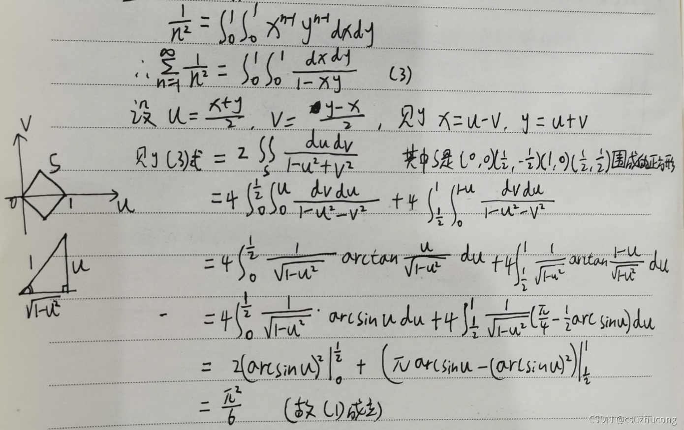
2,二重积分证法(2)
3,幂级数证法
4,傅里叶级数证法
5,逐项求导法
6,欧拉证法
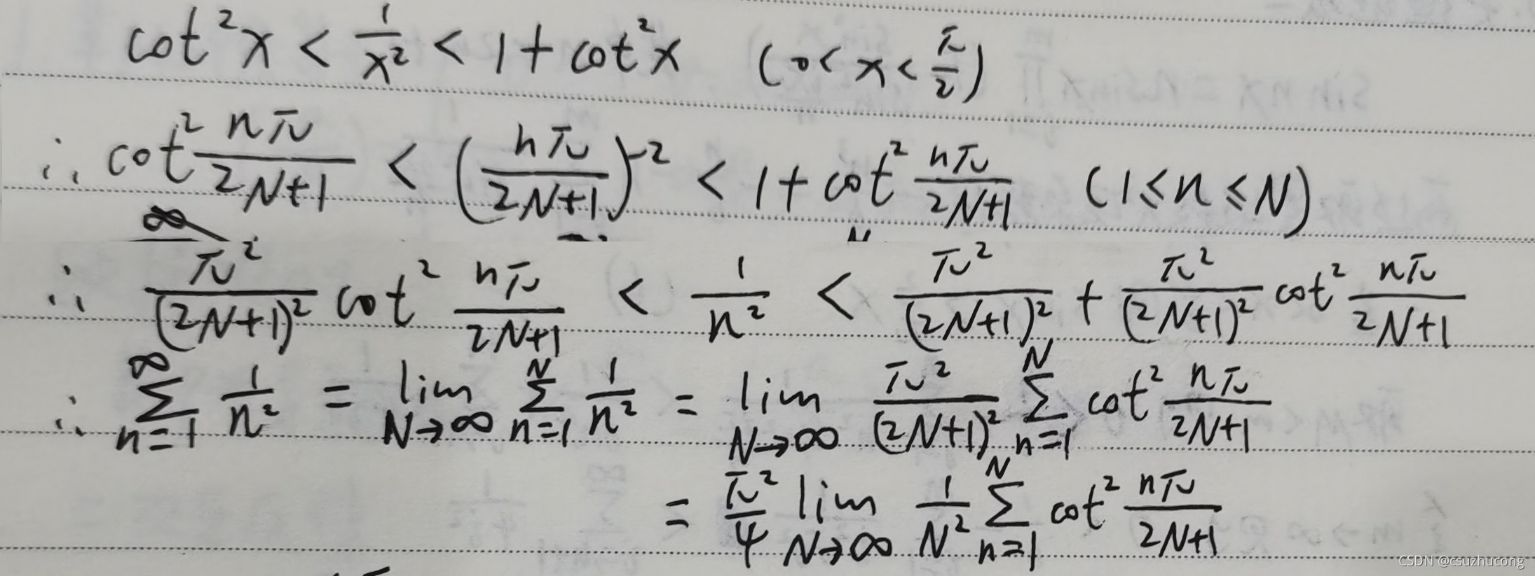
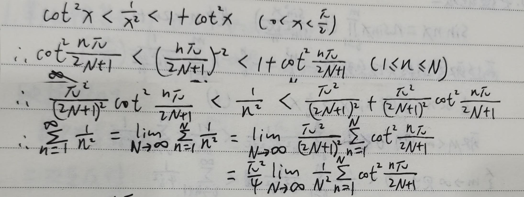
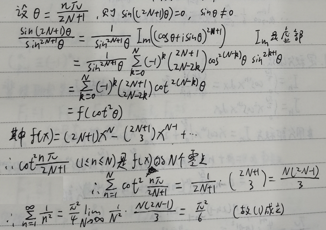
7,夹逼证法(1)
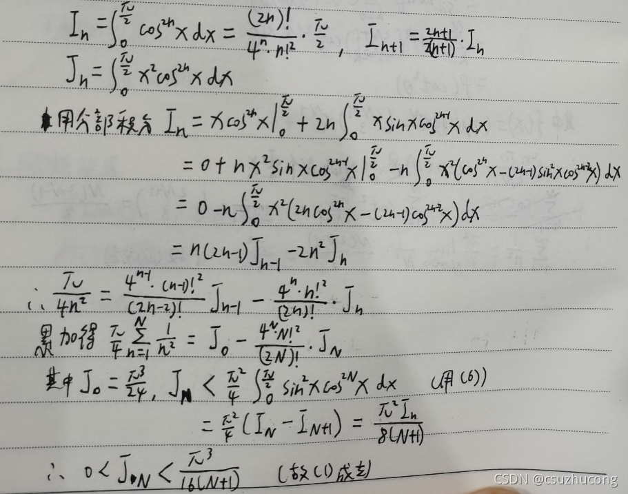
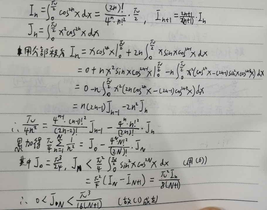
8,夹逼证法(2)
9,定积分证法
〇,证明
一,变形
二,多种证...
目录
〇,证明

一,变形

二,多种证明方法
1,二重积分证法(1)


2,二重积分证法(2)
3,幂级数证法

4,傅里叶级数证法

5,逐项求导法

6,欧拉证法

7,夹逼证法(1)


8,夹逼证法(2)

9,定积分证法

文章来源: blog.csdn.net,作者:csuzhucong,版权归原作者所有,如需转载,请联系作者。
原文链接:blog.csdn.net/nameofcsdn/article/details/120598158
【版权声明】本文为华为云社区用户转载文章,如果您发现本社区中有涉嫌抄袭的内容,欢迎发送邮件进行举报,并提供相关证据,一经查实,本社区将立刻删除涉嫌侵权内容,举报邮箱:
cloudbbs@huaweicloud.com
- 点赞
- 收藏
- 关注作者
3,幂级数证法
评论(0)