Matlab在概率统计中的应用问题及解决方案集锦
【摘要】
前言
关于MATLAB系列的精品专栏大家可参见
MATLAB-30天带你从入门到精通
MATLAB深入理解高级教程(附源码)
喜欢的小伙伴可自行订阅,你的支持就是我不断更新的动力哟!
Matlab在概率统计中的应用(0001)
问题:
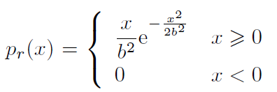
假设已知 Rayleigh 分布的概率密度函数为
试用解析推导的方...
前言
关于MATLAB系列的精品专栏大家可参见
喜欢的小伙伴可自行订阅,你的支持就是我不断更新的动力哟!
Matlab在概率统计中的应用(0001)
问题:
假设已知 Rayleigh 分布的概率密度函数为

试用解析推导的方法求出该分布的分布函数、均值、方差、中心矩和原点矩。生成一组满足 Rayleigh 分布的伪随机数,用数值方法检验得出的解析结果是否正确。
解:
工具相应的数学定义的公式,所需的分布函数、均值、方差、中心矩和原点矩等可 以由下面的语句推导出来。
>> syms x;
syms b positive
p=x*exp(-x^2/2/b^2)/b^2*heaviside(x);
>> syms tau;
F=int(subs(p,x,tau),ta
文章来源: wenyusuran.blog.csdn.net,作者:文宇肃然,版权归原作者所有,如需转载,请联系作者。
原文链接:wenyusuran.blog.csdn.net/article/details/117514538
【版权声明】本文为华为云社区用户转载文章,如果您发现本社区中有涉嫌抄袭的内容,欢迎发送邮件进行举报,并提供相关证据,一经查实,本社区将立刻删除涉嫌侵权内容,举报邮箱:
cloudbbs@huaweicloud.com
- 点赞
- 收藏
- 关注作者
评论(0)