MATLAB实战系列(三十)-MATLAB之M码正弦稳态电路建模仿真原理
【摘要】
正弦信号乃电力的基础。
如图所示电路,
如R1=R2=R3=1Ω。
试着求各结点电压和网孔电流值并作出各变量的相量图和时域波形图。
电路分析主要有两种方法节点电压法与网孔电流法。
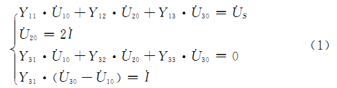
节点电压法
网孔电流法...
正弦信号乃电力的基础。
如图所示电路,

如R1=R2=R3=1Ω。

试着求各结点电压和网孔电流值并作出各变量的相量图和时域波形图。

电路分析主要有两种方法节点电压法与网孔电流法。
节点电压法




网孔电流法
文章来源: wenyusuran.blog.csdn.net,作者:文宇肃然,版权归原作者所有,如需转载,请联系作者。
原文链接:wenyusuran.blog.csdn.net/article/details/116977796
【版权声明】本文为华为云社区用户转载文章,如果您发现本社区中有涉嫌抄袭的内容,欢迎发送邮件进行举报,并提供相关证据,一经查实,本社区将立刻删除涉嫌侵权内容,举报邮箱:
cloudbbs@huaweicloud.com
- 点赞
- 收藏
- 关注作者
评论(0)