关于如何在matlab中导入并翻译Hypemesh导出的大型刚度矩阵txt文本
刚度矩阵是有限元计算中最重要的矩阵,它是一个典型的对称稀疏矩阵,并且非零元素全部集中
前言
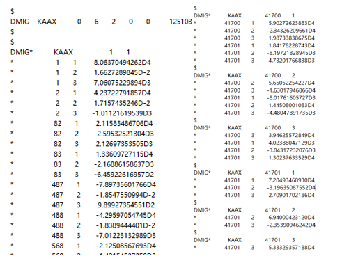
在对角线附近,稀疏矩阵就是零元素远大于非零元素的数目,所谓大型刚度矩阵。这里指稀疏矩阵中非零元素的数目有500多万。而这个稀疏矩阵是125万x125万≈1e12。如果不用稀疏矩阵的格式存储,这对matlab甚至其他计算软件来说都将会是内存溢出。这两篇推送将说明如何在matlab里如何导入并翻译Hypemesh导出的大型刚度矩阵txt文本。
作为第一部分是如何导入的问题。在matlab里可以导入txt文本和excel文本。

对于一个600多万行的文本,复制到excel和word里不现实,只会让软件崩掉。所以最好在txt进行批处理。用在主页面用Import可以手动导入一些较少数据的txt文本和excel文本。但是对于一个600多万行的文本,不建议使用手动导入,这将花费大约30min才能完成导入。这里建议使用textread函数导入。但是使用data_K=textread(‘data.txt’)导入的时候,文本中如果有字母和其他符号时,将会报错。这就需要我们要么在textread里增加格式说明要么在txt里将除数字外的不用的东西批量删掉。

其实很简单,在txt中使用替换功能就行,将* $ DIMG KAAX等挨个批量替换成空格。
文章来源: wenyusuran.blog.csdn.net,作者:文宇肃然,版权归原作者所有,如需转载,请联系作者。
原文链接:wenyusuran.blog.csdn.net/article/details/118051071
- 点赞
- 收藏
- 关注作者
 
             
           
评论(0)