Matlab从入门到精通-在线性代数中的应用(二):求解齐次线性方程组
【摘要】
前言
在 Matlab 中,函数 null 用来求解零空间,即满足 Ax=0 的解空间,实际上是求出解空间的一组基(基础解系)。
以下是我为大家准备的几个精品专栏,喜欢的小伙伴可自行订阅,你的支持就是我不断更新的动力哟!
MATLAB-30天带你从入门到精通
MATLAB深入理解高级教程(附源码)
tableau可...
前言
在 Matlab 中,函数 null 用来求解零空间,即满足 Ax=0 的解空间,实际上是求出解空间的一组基(基础解系)。
以下是我为大家准备的几个精品专栏,喜欢的小伙伴可自行订阅,你的支持就是我不断更新的动力哟!
格式:
z=null(A) %z 的列向量为方程组的正交规范基,满足 zT z=E 。
z=null(A,’r’) %z 的列向量是方程 Ax=0 的有理基。
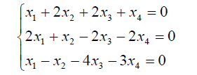
01求方程组的通解

文章来源: wenyusuran.blog.csdn.net,作者:文宇肃然,版权归原作者所有,如需转载,请联系作者。
原文链接:wenyusuran.blog.csdn.net/article/details/117524855
【版权声明】本文为华为云社区用户转载文章,如果您发现本社区中有涉嫌抄袭的内容,欢迎发送邮件进行举报,并提供相关证据,一经查实,本社区将立刻删除涉嫌侵权内容,举报邮箱:
cloudbbs@huaweicloud.com
- 点赞
- 收藏
- 关注作者
评论(0)