Matlab在线性代数中的应用(三):求解非齐次线性方程组
【摘要】
前言
Matlab 中解非齐次线性方程组可以使用“\”。
虽然表面上只是一个简简单单的符号,而它的内部却包含许许多多的自适应算法,如对超定方程用最小二乘法,对欠定方程它将给出范数最小的一个解,解三对角阵方程组时用追赶法等。
另外,求解欠定方程组可以使用求矩阵 A 的行最简形命令 rref(A),求出所有的基础解系。
...
前言
Matlab 中解非齐次线性方程组可以使用“\”。
虽然表面上只是一个简简单单的符号,而它的内部却包含许许多多的自适应算法,如对超定方程用最小二乘法,对欠定方程它将给出范数最小的一个解,解三对角阵方程组时用追赶法等。
另外,求解欠定方程组可以使用求矩阵 A 的行最简形命令 rref(A),求出所有的基础解系。
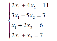
01求超定方程组

解:编写程序如下:
a=[2,4;3,-5;1,2;2,1]; b=[11;3;6;7];
solution=a\b
求得最小二乘解为

上面解超定方程组的“\”可以用伪逆命令 pinv 代替,且 pinv 的使用范围比“\”
更加广泛,pinv 也给出最小二乘解或最小范数解。
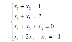
02用最小二乘解法解方程组

解:
编写程序如下:
format rat
a=[1,1,0;1,0,1;1,1,1;1,2,-1];
文章来源: wenyusuran.blog.csdn.net,作者:文宇肃然,版权归原作者所有,如需转载,请联系作者。
原文链接:wenyusuran.blog.csdn.net/article/details/117524959
【版权声明】本文为华为云社区用户转载文章,如果您发现本社区中有涉嫌抄袭的内容,欢迎发送邮件进行举报,并提供相关证据,一经查实,本社区将立刻删除涉嫌侵权内容,举报邮箱:
cloudbbs@huaweicloud.com
- 点赞
- 收藏
- 关注作者
评论(0)