MATLAB从入门到精通-APP调用simulink中的参数,并且修改,将结果返回到APP中
【摘要】
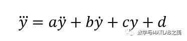
本次案例为以下微分方程:
其中方程的初始值为:
Step1:搭建simulink文件,如下图所示:
初始值配置在积分模块中,如下图所示:
Step2ÿ
本次案例为以下微分方程:

其中方程的初始值为:

Step1:搭建simulink文件,如下图所示:

初始值配置在积分模块中,如下图所示:



Step2ÿ
文章来源: wenyusuran.blog.csdn.net,作者:文宇肃然,版权归原作者所有,如需转载,请联系作者。
原文链接:wenyusuran.blog.csdn.net/article/details/120746608
【版权声明】本文为华为云社区用户转载文章,如果您发现本社区中有涉嫌抄袭的内容,欢迎发送邮件进行举报,并提供相关证据,一经查实,本社区将立刻删除涉嫌侵权内容,举报邮箱:
cloudbbs@huaweicloud.com
- 点赞
- 收藏
- 关注作者
评论(0)